Главная >> Физика. 10 класс. Базовый уровень. Пурышева

Глава 7. Свойства твёрдых тел и жидкостей

§ 45. Смачивание. Капиллярность

Вогнутую или выпуклую поверхность жидкости в трубке называют мениском.

На явлении смачивания основан способ обогащения руды, называемый флотацией. Руду размельчают, взбалтывают в воде и добавляют в эту взвесь масло. В результате перемешивания крупинки ценной руды обволакиваются маслом, которое их смачивает. Крупинки пустой породы не смачиваются маслом, но смачиваются водой.

Затем в эту смесь вдувают воздух. Пузырьки воздуха «прилипают» к крупинкам ценной породы, покрытым маслом и потому не смачивающимся водой. Под действием выталкивающей силы они поднимаются вверх. Крупинки пустой породы, смоченные водой и не поддерживаемые воздухом, остаются при этом на дне.

Капиллярные явления

3. Если в сосуд с водой опустить тонкие трубки, называемые капиллярами, то можно заметить, что вода поднимется по ним и уровень её в трубках будет выше, чем в сосуде (рис. 131, а). Если опустить эти трубки в сосуд со ртутью, то уровень ртути в них будет ниже, чем в сосуде (рис. 131,6). Причём и в том и в другом случае поверхность жидкости в трубках будет изогнутой: поверхность воды вогнутой, а поверхность ртути выпуклой.

Причина капиллярных явлений — смачивание или несмачива- ние жидкостью твёрдого тела.

Поскольку вода смачивает стекло, то она образует в трубке вогнутый мениск. В этом случае на стенки трубки действует сила поверхностного натяжения 1, направленная вниз (рис. 131, в). По третьему закону Ньютона на воду со стороны стекла действует сила 2 = -1, направленная вверх, которая и вызывает подъём жидкости в капилляре.

    вода смачивает стекло

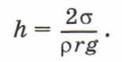
Если жидкость находится в покое, то сила 2 уравновешивает силу тяжести тяж, действующую на столб воды в капилляре: 2 = -тяж. Сила поверхностного натяжения F1 = σl, где l = 2πr — длина границы поверхностного слоя жидкости, r — радиус капилляра. Сила тяжести, действующая на столб воды в капилляре, Fтяж = mg = ρVg. Объём столба воды равен произведению площади его поперечного сечения (площади круга) и высоты столба: V = πr2h. Подставив выражение силы поверхностного натяжения и силы тяжести в условие равновесия столба жидкости, получим:

    2πrσ = ρπr2hg.

Откуда

Таким образом, высота подъёма жидкости в капилляре прямо пропорциональна поверхностному натяжению и обратно пропорциональна плотности жидкости и радиусу капилляра.

<<< К началу      Окончание >>>

 

 

???????@Mail.ru