Главная >> Физика. 10 класс. Базовый уровень. Пурышева

Глава 1. Механические явления

Путь и перемещение

Расчёт перемещения и координат

3. Вспомним, что в зависимости от характера изменения скорости тела механическое движение может быть равномерным или неравномерным.

Равномерным называют движение, при котором тело за любые равные промежутки времени совершает одинаковые перемещения.

Если же тело за равные промежутки времени совершает разные перемещения, то движение является неравномерным. Наиболее простым случаем неравномерного движения является равноускоренное движение.

Равноускоренным называют движение, при котором скорость тела за любые равные промежутки времени изменяется на одну и ту же величину.

Как вам известно, формула для расчёта перемещения при равноускоренном движении имеет вид:

    формула для расчёта перемещения при равноускоренном движении

где 0 — начальная скорость тела, — ускорение тела.

Найдём проекцию вектора перемещения на ось ОХ (см. рис. 9, б). Из выражения (2) следует, что проекция sx равна:

    Найдём проекцию вектора

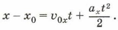
Обратим внимание, что левые части выражений (1) и (3) равны. Следовательно, равны и их правые части:

Из полученного равенства выразим координату х и получим формулу для расчёта координаты тела через время t после начала движения. Такую зависимость называют уравнением движения.

    уравнением движения

Аналогично можно получить выражение для координаты у:

    выражение для координаты

Наиболее просто использовать формулу (4) при прямолинейном движении, когда есть возможность направить ось X вдоль вектора перемещения (рис. 10).

    вектор перемещения

В случае, когда тело движется равномерно прямолинейно, его ускорение а равно нулю. Подставляя это значение в формулу (3) и учитывая, что скорость не изменяется, т. е. υ = υ0, получаем формулу для расчёта проекции перемещения при равномерном прямолинейном движении:

    sx = υxt.

<<< К началу      Окончание >>>

 

 

???????@Mail.ru