Главная >> Физика 10 класс. Мякишев

Глава 1. Кинематика точки и твёрдого тела

§ 10. Движение с постоянным ускорением

Какая величина, характеризующая движение точки, не зависит от выбора системы отсчёта?

Может ли в одной системе отсчёта точка покоиться, а в другой двигаться?

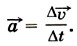
Выясним зависимость скорости точки от времени при её движении с постоянным ускорением. Для этого воспользуемся формулой

зависимость скорости точки от времени при её движении с постоянным ускорением

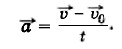
Пусть 0 — скорость точки в начальный момент времени t0, а — её скорость в некоторый момент времени t, тогда за промежуток времени Δt = t - t0 изменение скорости Δ = - 0, и формула для ускорения примет вид

формула для ускорения

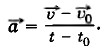
Если начальный момент времени t0 принять равным нулю, то получим

начальный момент времени

Отсюда получим формулу для определения скорости точки в любой момент времени при её движении с постоянным ускорением:

= 0 + t.                         (1.11)

Векторному уравнению (1.11) соответствуют в случае движения на плоскости два скалярных уравнения для проекций скорости на координатные оси X и Y:

x = 0x +axt,       (1.12)
y = 0y + ayt.

Как видим, при движении с постоянным ускорением скорость со временем меняется по линейному закону.

Итак, для определения скорости в произвольный момент времени надо знать начальную скорость 0 и ускорение t Начальную скорость нужно измерить. Ускорение, как мы увидим в дальнейшем, можно вычислить. Начальная скорость зависит от условий, при которых началось движение. Начальная скорость, например, падающего камня зависит от того, выпустили его из рук или же бросили, совершив некоторое усилие.

Ускорение же, наоборот, не зависит от того, что происходило с телом в предыдущие моменты, а зависит лишь от действия на него других тел в данный момент времени.

Одинакова ли будет конечная скорость камня, если его сначала бросить вверх с некоторой начальной скоростью, а затем вниз с такой же начальной скоростью?

зависимость скорости от времени

Зависимость проекции скорости от времени можно изобразить наглядно с помощью графика.

Если начальная скорость равна нулю, то график зависимости проекции скорости на ось X от времени имеет вид прямой, выходящей из начала координат. Такая зависимость скорости от времени наблюдается при падении тела, покоившегося в начальный момент времени, с некоторой высоты или при движении автомобиля, трогающегося с места. На рисунке 1.31 представлен этот график в виде прямой 1 для случая ах > 0. По этому графику можно найти проекцию ускорения на ось X:

проекцию ускорения на ось X

Чем больше ах, тем больший угол α с осью времени составляет график проекции скорости, так как за тот же промежуток времени скорость изменяется больше.

Если начальная скорость отлична от нуля и тело движется с большим, но также постоянным ускорением, то график зависимости проекции скорости от времени имеет вид прямой 2 (см. рис. 1.31).

В случае равнозамедленного движения с той же начальной скоростью график зависимости х от времени имеет вид прямой 3. Обратите внимание: так как углы α2 и α3 по модулю равны, то равны по модулю проекции ускорения: |ах2| = |ах3|.

Теперь получим уравнения, которые позволяют рассчитывать для этого движения положение точки в любой момент времени.

Допустим, движение с постоянным ускорением совершается в одной плоскости, пусть это будет плоскость XOY. Если вектор начальной скорости и вектор ускорения не лежат на одной прямой, то точка будет двигаться по кривой линии. Следовательно, в этом случае с течением времени будут изменяться обе её координаты х и у. Обозначим через x0 и у0 координаты в начальный момент времени t0 = 0, а через х и у координаты в момент времени f. Тогда за время Δt = t — t0 = t изменения координат будут равны

Δх = х - х0 и Δу = у - у0.

Отсюда

х = х0 + Δх,       (1.13)
У = У0 + ΔУ.

проекция скорости изменяется со временем

Значит, для нахождения положения точки в любой момент времени надо знать её начальные координаты и уметь находить изменения координат Δх и Δу за время движения.

В случае движения, при котором проекция скорости изменяется со временем (рис. 1.32, кривая 1), величину Δx: за время t найдём следующим образом. Из § 4 мы знаем, что при равномерном движении изменение координаты точки за время Δt можно определить на графике зависимости х(t) по площади прямоугольника. На рисунке 1.32 длина отрезка ОС численно равна времени движения.

Можно ли по графику зависимости х(t) определить путь, пройденный телом?

Разделим его на малые интервалы Δt, в пределах которых проекцию скорости можно считать постоянной и равной её среднему значению. Рассмотрим интервал Δti Тогда Δxi = icpΔti, и соответственно площадь заштрихованного прямоугольника численно равна изменению координаты точки за время Δti. Сумма всех таких площадей численно равна изменению координаты точки за время t. Чем меньше интервал Δt, тем точнее будет результат. При стремлении Δt к нулю значение площади фигуры АВСО будет стремиться к числовому значению изменения координаты точки Δх.

В случае равноускоренного (ах = const) движения (рис. 1.32, прямая 2) изменение координаты тела Δх численно равно площади трапеции АВСО. Длины оснований ОА и ВС этой трапеции численно равны проекциям начальной и конечной скоростей, а длина высоты ОС — времени движения.

Как по графику (см. рис. 1.32) используя тот факт, что площадь фигуры под графиком численно равна изменению координаты, определить среднюю скорость движения?

Окончание параграфа>>>

 

 

???????@Mail.ru