Главная >> Физика 10 класс. Мякишев

Глава 16. Электрический ток в различных средах

§ 116. Примеры решения задач по теме «Электрический ток в различных средах

Наиболее просты количественные закономерности для электрического тока в металлах и электролитах.

Задачи на закон Ома, который выполняется для этих проводников, были приведены в главе 15. В данной главе преимущественно рассматриваются задачи на применение закона электролиза. Кроме того, при решении некоторых задач надо использовать формулу (16.1) для зависимости сопротивления металлических проводников от температуры.

Задача 1. Проводящая сфера радиусом R = 5 см помещена в электролитическую ванну, наполненную раствором медного купороса. Насколько увеличится масса сферы, если отложение меди длится t — 30 мин, а электрический заряд, поступающий на каждый квадратный сантиметр поверхности сферы за 1 с, q = 0,01 Кл? Молярная масса меди М = 0,0635 кг/моль.

Р е ш е н и е. Площадь поверхности сферы S = 4πR2 = 314 см2. Следовательно, заряд, перенесённый ионами за t = 30 мин = 1800 с, равен Δq = qSt = 0,01 Кл/(см2 • с) • 314 см2 • 1800 с = 5652 Кл. Масса выделившейся меди равна:

Масса выделившейся меди равна

Задача 2. При электролизе, длившемся в течение одного часа, сила тока была равна 5 А. Чему равна температура выделившегося атомарного водорода, если при давлении, равном 105 Па, его объём равен 1,5 л? Электрохимическии эквивалент водорода

Р е ш е н и е. По закону Фарадея масса m выделившегося водорода:

m = kIt.                     (1)

Из уравнения Менделеева—Клапейрона где R — универсальная газовая постоянная, М — молярная масса атомарного водорода, определим массу водорода, полученного при электролизе:

Определим массу водорода, полученного при электролизе

Из выражений (1) и (2) определим температуру:

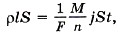
Задача 3. При никелировании изделия в течение 1 ч отложился слой никеля толщиной l = 0,01 мм. Определите плотность тока, если молярная масса никеля М = 0,0587 кг/моль, валентность n = 2, плотность никеля

Р е ш е н и е. Согласно закону электролиза Фарадея масса выделившегося на катоде никеля

Масса выделившегося на катоде никеля

где m = ρV = ρlS, а I = jS, где S — площадь покрытия никелем; F — постоянная Фарадея, Подставив выражения для массы никеля и силы тока I в формулу (1), получим откуда

Задача 4. Определите электрическую энергию, затраченную на получение серебра массой 200 г, если КПД установки 80%, а электролиз проводят при напряжении 20 В. Электрохимический эквивалент серебра равен

Р е ш е н и е. Энергия, идущая только на электролиз, равна:

W'э = qU.                     (1)

Согласно закону Фарадея m = kq, откуда

Подставив выражение для q в формулу (1), получим

Полная затраченная энергия Wэ связана с W'э выражением следовательно,

Задача 5. Объясните, почему при дуговом разряде при увеличении силы тока напряжение уменьшается.

Р е ш е н и е. При увеличении силы тока возрастает термоэлектронная эмиссия с катода, носителей заряда становится больше, а следовательно, сопротивление промежутка между электродами уменьшается. При этом уменьшение сопротивления происходит быстрее, чем увеличение силы тока (в газах нарушается линейный закон Ома U = IR), поэтому напряжение уменьшается.

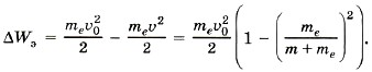
Задача 6. Покажите, что при упругом столкновении электрона с молекулой электрон передаёт ей меньшую энергию, чем при абсолютно неупругом ударе.

Р е ш е н и е. При прямом абсолютно упругом столкновении электрона с молекулой выполняются законы сохранения энергии и импульса:

При прямом абсолютно упругом столкновении электрона с молекулой выполняются законы сохранения энергии и импульса

где me и m — массы электрона и молекулы; υ1 и υ2 — их скорости после столкновения. Решая эту систему относительно υ1 и υ2, получаем

Энергия, передаваемая молекуле, Так как me << m, то можно записать, что (me + m)2 ≈ m2. Тогда

Из полученного выражения следует, что молекуле передаётся очень маленькая часть первоначальной энергии электрона, так как me << m.

При неупругом столкновении выполняется только закон сохранения импульса meυ0 = (m + me)υ, и, таким образом, электрон теряет энергию

Электрон теряет энергию

Так как me << m, мы можем считать, что дробь в скобках равна нулю, откуда т. е. при неупругом столкновении электрон полностью передаёт свою энергию молекуле.

Задачи для самостоятельного решения

1. Однородное электрическое поле напряжённостью Е создано в металле и в вакууме. Одинаковое ли расстояние пройдёт за одно и то же время электрон в том и другом случаях? Начальная скорость электрона равна нулю.

2. Длинная проволока, на концах которой поддерживается постоянное напряжение, накалилась докрасна. Половину проволоки опустили в холодную воду. Почему часть проволоки, оставшаяся над водой, нагревается сильнее?

3. Спираль электрической плитки перегорела и после соединения концов оказалась несколько короче. Как изменилось количество теплоты, выделяемой плиткой за единицу времени?

4. Алюминиевая обмотка электромагнита при температуре О °С потребляет мощность 5 кВт. Чему будет равна потребляемая мощность, если во время работы температура обмотки повысится до 60 °С, а напряжение останется неизменным? Что будет, если неизменной останется сила тока в обмотке? Температурный коэффициент сопротивления алюминия 3,8 • 10-3 К-1.

5. Концентрация электронов проводимости в кремнии при комнатной температуре n1 = 1017 м-3, а при 700 °С — n2 — 1024 м-3. Какую часть составляет число электронов проводимости от общего числа атомов кремния? Плотность кремния 2300 кг/м3.

6. Для получения примесной проводимости применяют индий, мышьяк, фосфор, галлий, сурьму, висмут. Какие из этих элементов можно ввести в качестве примеси в кремний, чтобы получить электронную проводимость?

7. Какой тип полупроводника получится, если в кремний ввести небольшое количество алюминия?

8. Для покрытия цинком металлических изделий в электролитическую ванну помещён цинковый электрод массой m = 0,01 кг. Какой заряд должен пройти через ванну, чтобы электрод был полностью израсходован? Электрохимический эквивалент цинка k = 3,4 • 10-7 кг/Кл.

9. При силе тока 1,6 А на катоде электролитической ванны за 10 мин отложилась медь массой 0,316 г. Определите электрохимический эквивалент меди.

10. Определите количество выделившегося на катоде при электролизе алюминия (электролит Al2SO4), если затрачена энергия 20 кВт • ч при напряжении на электродах 12 В, КПД установки 80%. Электрохимический эквивалент алюминия

11. Как надо расположить электроды, чтобы электролитически покрыть внутреннюю поверхность полого металлического предмета?

12. При никелировании детали в течение 2 ч сила тока, проходящего через ванну, была 25 А. Электрохимический эквивалент никеля k = 3 • 10-7 кг/Кл, его плотность ρ = 8,9 • 103 кг/м3. Чему равна толщина слоя никеля, выделившегося на детали, если площадь детали S = 0,2 м2?

13. Определите скорость электронов при выходе из электронной пушки в двух случаях — при разности потенциалов между анодом и катодом 500 В и 5000 В.


Повторите материал главы 16 по следующему плану

1. Выпишите основные понятия и физические величины и дайте им определение.

2. Сформулируйте законы и запишите основные формулы.

3. Укажите единицы физических величии и их выражение через основные единицы СИ.

4. Опишите основные опыты, подтверждающие справедливость законов.

«Токи в газах»

    1. Тлеющий разряд и его использование в рекламе.

    2. Дуговой разряд. Дуговая сварка.

    3. Искровой и коронный разряды. Молния. Громоотвод.

    4. Плазма и её использование.

«Экспериментальное исследование свойств полупроводникового диода»

«Моделирование установки для покрытия металлических изделий различной формы слоем другого металла»

 

 

???????@Mail.ru