Главная >> Физика 10 класс. Мякишев

Лабораторные работы

№ 7. Экспериментальная проверка закона Гей-Люссака

Цель работы

Экспериментально проверить справедливость соотношения Оборудование

Стеклянная трубка, запаянная с одного конца, длиной 600 мм и диаметром 8—10 мм; цилиндрический сосуд высотой 600 мм и диаметром 40—50 мм, наполненный горячей водой (t ≈ 60 °С); стакан с водой комнатной температуры; пластилин.

Указания к работе

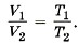
Чтобы проверить, выполняется ли закон Гей-Люссака, достаточно измерить объём и температуру газа в двух состояниях при постоянном давлении и проверить справедливость равенства Это можно осуществить, используя в качестве газа воздух при атмосферном давлении.

Стеклянная трубка открытым концом вверх помещается вертикально на 3—5 мин в цилиндрический сосуд с горячей водой (рис. Л.7, а). В этом случае объём воздуха V1 равен объёму стеклянной трубки, а температура — температуре горячей воды Т1. Это — первое состояние. Чтобы при переходе воздуха во второе состояние его количество не изменилось, открытый конец стеклянной трубки, находящейся в горячей воде, замазывают пластилином. После этого трубку вынимают из сосуда с горячей водой и замазанный конец быстро опускают в стакан с водой комнатной температуры (рис. Л.7, б), а затем прямо под водой снимают пластилин. По мере охлаждения воздуха в трубке вода в ней будет подниматься. После прекращения подъёма воды в трубке (рис. Л.7, в) объём воздуха в ней станет равным V2 < V1, а давление р = ратм - ρgh. Чтобы давление воздуха в трубке вновь стало равным атмосферному, необходимо увеличивать глубину погружения трубки в стакан до тех пор, пока уровни воды в трубке и стакане не выровняются (рис. Л.7, г). Это будет второе состояние воздуха в трубке при температуре Т2 окружающего воздуха. Отношение объёмов воздуха в трубке в первом и втором состояниях можно заменить отношением высот воздушных столбов в трубке в этих состояниях, если сечение трубки постоянно по всей длине

Поэтому в работе следует сравнить отношения Длина воздушного столба измеряется линейкой, температура — термометром.

Порядок выполнения работы

1. Подготовьте бланк отчёта с таблицей 10 для записи результатов измерений и вычислений (инструментальные погрешности определяются с помощью таблицы 1).

Подготовьте бланк отчёта с таблицей 10 для записи результатов измерений и вычислений

2. Подготовьте стакан с водой комнатной температуры и сосуд с горячей водой.

3. Измерьте длину l1 стеклянной трубки и температуру воды в цилиндрическом сосуде.

4. Приведите воздух в трубке во второе состояние так, как об этом сказано выше. Измерьте длину l2 воздушного столба в трубке и температуру окружающего воздуха Т2.

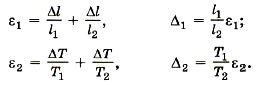
5. Вычислите отношения относительные (ε1, и ε2) и абсолютные (Δ1 и Δ2) погрешности измерений этих отношений по формулам

Погрешности измерений этих отношений

6. Сравните отношения (см. п. 3 и рис. Л.1 введения к лабораторным работам).

7. Сделайте вывод о справедливости закона Гей-Люссака.

 

 

???????@Mail.ru