Главная >> Физика 10 класс. Мякишев

Глава 3. Силы в механике

§ 31. Первая космическая скорость

    Что такое искусственные спутники Земли?

    Какое назначение они имеют?

гравитационная сила

Вычислим скорость, которую надо сообщить искусственному спутнику Земли, чтобы он двигался по круговой орбите на высоте h над Землёй.

На больших высотах воздух сильно разрежен и оказывает незначительное сопротивление движущимся в нём телам. Поэтому можно считать, что на спутник массой m действует только гравитационная сила , направленная к центру Земли (рис. 3.8).

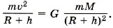
Согласно второму закону Ньютона mцс = .

Центростремительное ускорение спутника определяется формулой где h — высота спутника над поверхностью Земли. Сила же, действующая на спутник, согласно закону всемирного тяготения определяется формулой где M — масса Земли.

Подставив найденные выражения для F и а в уравнение для второго закона Ньютона, получим

Отсюда

Из полученной формулы следует, что скорость спутника зависит от его расстояния от поверхности Земли

Из полученной формулы следует, что скорость спутника зависит от его расстояния от поверхности Земли: чем больше это расстояние, тем с меньшей скоростью он будет двигаться по круговой орбите. Примечательно то, что эта скорость не зависит от массы спутника. Значит, спутником Земли может стать любое тело, если ему сообщить определённую скорость. В частности, при h = 2000 км = 2 • 106 м скорость υ ≈ 6900 м/с.

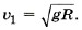
Подставив в формулу (3.7) значение G и значения величин М и R для Земли, можно вычислить первую космическую скорость для спутника Земли:

υ1 ≈ 8 км/с.

Докажите, что первую космическую скорость можно рассчитать, по формуле

Первый советский космический корабль был запущен 15 мая 1960 г. со скоростью, близкой к первой космической скорости, и выведен на орбиту, близкую к круговой. Космический корабль «Восток», на борту которого советский космонавт Ю. Гагарин 12 апреля 1961 г. совершил первый в мире полёт в космос, двигался по эллиптической орбите. Максимальная скорость его полёта была 7843 м/с, минимальная скорость для данной орбиты составляла 7671 м/с.

Если такую скорость сообщить телу в горизонтальном направлении у поверхности Земли, то при отсутствии атмосферы оно станет искусственным спутником Земли, обращающимся вокруг неё по круговой орбите.

Такую скорость спутникам способны сообщать только достаточно мощные космические ракеты. В настоящее время вокруг Земли обращаются тысячи искусственных спутников.

Любое тело может стать искусственным спутником другого тела (планеты), если сообщить ему необходимую скорость.

Ключевые слова для поиска информации по теме параграфа.
Первая космическая скорость

Вопросы к параграфу

    1. Что определяет первую космическую скорость?

    2. Какие силы действуют на спутник любой планеты?

    3. Можно ли сказать, что Земля — спутник Солнца?

    4. Выведите выражение для периода обращения спутника планеты.

    5 Как изменяется скорость космического корабля при входе в плотные слои атмосферы? Нет ли противоречий с формулой (3.6)?

Образцы заданий ЕГЭ

А1. Какое выражение определяет значение скорости движения по круговой орбите спутника планеты массой М, если радиус планеты R, а расстояние от поверхности планеты до спутника h?

А2. Космический корабль движется вокруг Земли по круговой орбите радиусом 20 000 км. Масса Земли 6 • 1024 кг. Определите скорость корабля.

1) 4,5 км/с       2) 6,3 км/с       3) 8 км/с       4) 11 км/с

А3. Чему равна первая космическая скорость на Луне, если ускорение свободного падения на ней примерно в 6 раз меньше, чем на Земле, а радиус Луны в 3,7 раза меньше радиуса Земли. (g3 = 9,8 м/с2.)

1) 46 км/с       2) 13 км/с       3) 7,6 км/с       4) 1,7 км/с

 

 

???????@Mail.ru