Главная >> Физика 10 класс. Мякишев

Глава 1. Кинематика точки и твёрдого тела

§ 4. Равномерное прямолинейное движение. Скорость. Уравнение движения

Один и тот же путь тело может пройти за разные промежутки времени.

Какая физическая величина характеризует быстроту движений тела?

Как, зная эту величину, определить положение тела?

На уроках физики вы довольно подробно изучали равномерное движение.

Запомни
Движение точки называется равномерным, если она за любые равные промежутки времени проходит одинаковые пути.

Равномерное движение может быть как криволинейным, так и прямолинейным. Равномерное прямолинейное движение — самый простой вид движения. С него мы и начнём изучение движения в кинематике.

Скорость. Важной величиной, характеризующей движение точки, является её скорость. Некоторое представление о скорости каждый из нас имел и до начала изучения физики.

Черепаха перемещается с малой скоростью, человек движется с большей скоростью, автомобиль движется быстрее человека, а самолёт — ещё быстрее. Самой большой скорости относительно Земли человек достигает с помощью космических ракет.

Составьте с помощью Интернета таблицу примерных скоростей различных объектов. Проанализируйте её.

В механике рассматривают скорость как векторную величину. А это означает, что скорость можно считать известной (заданной) лишь в том случае, если известны её модуль и направление.

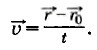
Дадим определение скорости равномерного прямолинейного движения точки. Пусть точка, двигаясь равномерно и прямолинейно в течение промежутка времени Δt, переходит из положения М1 в положение М2 (рис. 1.9), совершив при этом перемещение Δ. Поделим перемещение Δ на промежуток времени Δt, в течение которого это перемещение произошло. В результате получим вектор.

(При делении вектора на число получаем вектор.) Этот вектор называют скоростью равномерного прямолинейного движения точки и обозначают буквой . Следовательно, можно записать:

Скорость равномерного прямолинейного движения точки

Так как промежуток времени Δt — величина положительная, то скорость направлена так же, как и перемещение Δ. Выясним смысл модуля скорости

Модуль скорости

Запомни
Скоростью равномерного прямолинейного движения точки называется векторная величина, равная отношению перемещения точки к промежутку времени, в течение которого это перемещение произошло.

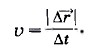
Модуль перемещения |Δ| есть расстояние, пройденное точкой за время Δt. А так как точка движется равномерно, то модуль отношения, а значит, и модуль скорости υ есть величина, численно равная пути, пройденному точкой за единицу времени.

Уравнение равномерного прямолинейного движения точки. Пусть радиус-вектор 0 задаёт положение точки в начальный момент времени t0, а радиус-вектор — в момент времени t. Тогда Δt = t — t0, Δ = - 0, и выражение для скорости принимает вид

Проведите эксперимент. Измерьте время вашего перемещения из одной точки в другую, например от двери школы до калитки. Определите скорость. Сравните вашу скорость со скоростью товарища, прошедшего это же расстояние.

Если начальный момент времени t0 принять равным нулю, то

Начальный момент времени

Отсюда

= 0 + t.                         (1.4)

Последнее уравнение и есть уравнение равномерного прямолинейного движения точки, записанное в векторной форме. Оно позволяет найти радиус-вектор точки при этом движении в любой момент времени, если известны скорость точки и радиус-вектор, задающий её положение в начальный момент времени.

Вместо векторного уравнения (1.4) можно записать три эквивалентных ему уравнения в проекциях на оси координат.

Радиус-вектор является суммой двух векторов: радиус-вектора 0 и вектора t. Следовательно, проекции радиус-вектора на оси координат должны быть равны сумме проекций этих двух векторов на те же оси. Рассмотрим случай, когда направления 0 и совпадают.

Запишите уравнение (1.4) в проекциях на оси декартовой системы координат. Обсудите, в каком случае при рассмотрении движения точки можно ограничиться одной осью.

Окончание параграфа >>>

 

 

???????@Mail.ru