Главная >> Физика 11 класс. Генденштейн. Дик

Лабораторная работа 3

Измерение ускорения свободного падения с помощью маятника

Цель работы: проверить зависимость периода колебаний нитяного маятника от его длины и измерить ускорение свободного падения.

Оборудование: штатив с муфтой и кольцом, шарик с отверстием, нить, часы с секундной стрелкой, измерительная лента, линейка с миллиметровыми делениями.

    Описание работы

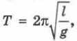
Период колебаний нитяного маятника вычисляют по формуле где l — длина нити. Из этой формулы следует, что квадрат периода пропорционален длине нити. Поэтому если уменьшить длину нити в 4 раза, период колебаний должен уменьшиться в 2 раза.

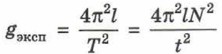
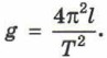
Из приведённой формулы для периода колебаний получаем, что Таким образом, измерив длину маятника и период его колебаний, можно определить на опыте значение ускорения свободного падения g.

    Ход работы

1. Подвесьте к стоящему на краю стола штативу шарик на нити, подобрав длину нити так, чтобы шарик висел на расстоянии нескольких сантиметров от пола.

2. Измерьте расстояние l от точки подвеса до центра шарика.

3. Отклоните шарик от положения равновесия на 5—10 см и отпустите его.

4. Измерьте время t, в течение которого маятник совершает N полных колебаний (удобно взять N = 40). Период колебаний вычислите по формуле

5. Вычислите и сравните его с табличным значением ускорения свободного падения.

6. Результаты измерений и вычислений запишите в таблицу, заголовок которой приведён ниже.

7. Уменьшите длину нити в 4 раза и повторите опыт. Сравните периоды колебаний в этом и предыдущем опытах. Запишите результат сравнения и сделайте вывод.

8. Запишите выводы из эксперимента.

 

 

???????@Mail.ru