Главная >> Физика 11 класс. Генденштейн. Дик

Лабораторная работа 7

Изучение треков заряженных частиц по фотографиям

    Треком называют след, оставленный движущейся частицей в устройстве для исследования процессов, происходящих с ядрами и элементарными частицами (в камере Вильсона или пузырьковой камере).

Цель работы: определить тип заряженной частицы по результатам сравнения её трека с треком протона в камере Вильсона, помёщенной в магнитное поле.

Оборудование: фотографии треков заряженных частиц, лист кальки, угольник, линейка, карандаш.

    Описание работы

Вам предложены фотографии треков двух заряженных частиц, движущихся по окружностям в плоскости, параллельной плоскости фотографии. Линии магнитной индукции перпендикулярны плоскости фотографии. Одна из частиц — протон, а тип другой частицы требуется определить. Начальные скорости частиц равны.

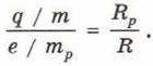
Тип частицы определяют путём сравнения её удельного заряда (отношения электрического заряда к массе) с удельным зарядом протона.

Удельный заряд частицы, движущейся со скоростью υ, можно определить, измерив радиус R траектории движения этой частицы в магнитном поле, модуль индукции которого равен В. Расчёт даёт, что

Для протона где е — электрический заряд протона (равный элементарному электрическому заряду), mр — масса протона, Rp — радиус траектории движения протона в магнитном поле.

Отсюда следует, что если неизвестная частица и протон движутся с одинаковыми по модулю скоростями в одном и том же магнитном поле, отношение их удельных зарядов обратно пропорционально отношению радиусов траекторий движения протона и неизвестной частицы:

Для измерения радиуса окружности надо провести две произвольные различные хорды этой окружности. Центр окружности лежит на пересечении перпендикуляров к хордам, проведённых через их середины.

    Ход работы

1. Изучите рисунок 7, сделанный по фотографиям треков двух заряженных частиц. Обе эти частицы — ядра лёгких элементов. Трек I принадлежит протону, а трек II — частице, тип которой надо определить.

    Рис. 7

3. Сравните удельные заряды неизвестной частицы и протона. Расчёт и результат запишите.

4. Определите тип неизвестной частицы. Запишите вывод.

5. Запишите выводы из эксперимента.

 

 

???????@Mail.ru