Главная >> Физика 11 класс. Генденштейн. Дик

§ 8. Применение закона электромагнитной индукции

Ответы к § 8. Применение закона электромагнитной индукции

    1. Вверх на рисунке.

    2. Верхний на рисунке.

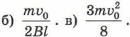
    5. 4 м/с.

    7. Указание.В таком случае сила Лоренца, действующая на свободные заряды, либо равна нулю, либо направлена поперёк проводника.

    9. б) 0,01 В. в) 2 мА. г) 6 • 10-5 Дж. д) 4 • 10-5 Н. е) 4 • 10-5 Н. ж) 6 • 10-5 Дж. з) 6 • 10-3 Кл. и) 6 • 10-5 Дж.

    10. Указание. Эта сила направлена так же, как скорость упорядоченного движения свободных зарядов.

    11. Указание. Эта сила направлена противоположно скорости проводника.

    13.

    14. По часовой стрелке.

    15. Верхняя.

    17. Влево.

    19.

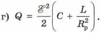
    20. г) Работа внешней силы равна сумме кинетической энергии перемычки и энергии электрического поля в конденсаторе.

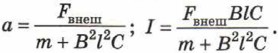
    21. а) 0,036 В. б) Нет. Указание. Движение перемычки с постоянной скоростью возможно только при условии, что действующая на неё сила Ампера равна нулю, в) 0,036 В. г) 7,2 • 10-5 Кл.

    22. а) Скорость перемычки будет уменьшаться до некоторого значения вследствие действия силы Ампера, б) Указание. Ток прекратится тогда, когда ЭДС индукции в движущейся перемычке станет равной по модулю напряжению на конденсаторе. Указание. Выделившееся количество теплоты не зависит от сопротивления цепи. Это обусловлено тем, что чем меньше сопротивление цепи, тем больше средняя сила тока в цепи и тем меньше время зарядки конденсатора.

    23. Указание. Воспользуйтесь законом сохранения энергии.

    24.

    25. Указание. После размыкания цепи в течение времени разрядки конденсатора сила тока в резисторе и лампе одинакова.

<<< К началу

 

 

???????@Mail.ru