Главная >> Физика 11 класс. Генденштейн. Дик

§ 10. Динамика механических колебаний

Динамика механических колебаний: Что мы узнали. Вопросы и задания

Что мы узнали

Дополнительные вопросы и задания

19. Латунный шарик совершает колебания на пружине. Как изменится период колебаний, если:

    а) уменьшить радиус шарика в 2 раза?
    б) заменить латунный шарик алюминиевым того же радиуса (для расчёта примите, что плотность алюминия в 3 раза меньше плотности латуни)?
    в) заменить пружину половиной такой же пружины?
    г) перенести систему на Луну (где ускорение свободного падения в 6 раз меньше, чем на Земле)?

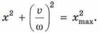
20. Тело совершает гармонические колебания с амплитудой xmax и частотой ν. шах

    а) Объясните, почему смещение х и скорость υ тела в любой момент времени связаны соотношением

Подсказка. Воспользуйтесь законом сохранения энергии или тождеством sin2α + cos2α = 1.

    б) Чему равен модуль скорости тела в момент, когда смещение равно половине амплитуды?

21. Тело совершает гармонические колебания. В момент, когда смещение тела равно 6 см, его скорость равна 30 см/с, а в момент, когда смещение равно 2 см, скорость тела равна 50 см/с.

    а) Чему равна частота колебаний?
    б) Чему равна амплитуда колебаний?

22. Груз лежит на горизонтальной подставке, совершающей гармонические горизонтальные колебания с периодом 0,9 с. Коэффициент трения между грузом и подставкой 0,4.

    а) В каких пределах должно быть ускорение груза, если он не проскальзывает при колебаниях?
    б) При какой амплитуде колебаний груз будет скользить по подставке при колебаниях?

Подсказка. Сила трения покоя не может превышать своего максимального значения, которое обычно принимают равным силе трения скольжения.

Ответы >>>

 

 

???????@Mail.ru