Главная >> Физика 11 класс. Генденштейн. Дик

§ 13. Более сложные вопросы колебаний

Математический маятник (окончание)

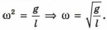
Уравнение (9) означает, что при малых углах ускорение груза прямо пропорционально его смещению из положения равновесия и направлено противоположно смещению.

Как мы установили в предыдущем параграфе, в таком случае груз совершает гармонические колебания. Модуль коэффициента пропорциональности между ускорением и смещением равен при этом квадрату циклической частоты. Следовательно, для математического маятника

14. Объясните, почему период и частота колебаний математического маятника выражаются формулами

15. Шарик, подвешенный на нити длиной 70 см, совершает гармонические колебания с амплитудой 4 см.

    а) Чему равна циклическая частота колебаний?

    б) С какой скоростью шарик проходит положение равновесия?

16. Чему будет равен период малых колебаний положительно заряженного шарика с зарядом q и массой m, подвешенного на нити длиной l, если поместить его в однородное электрическое поле, напряжённостью Е? Вектор напряжённости направлен вертикально вниз.

17. Изменится ли период колебаний подвешенного на нити заряженного шарика, если поместить его в магнитное поле, вектор магнитной индукции которого перпендикулярен плоскости колебаний шарика? Обоснуйте свой ответ.

18. В покоящемся лифте подвешенный на нити груз совершает колебания с частотой 2 Гц. Чему будет равна частота колебаний груза, если лифт движется:

    а) вверх с ускорением 3 м/с2, направленным вниз?

    б) вниз с ускорением 3 м/с2, направленным вверх?

Подсказка. Вес груза определяется только ускорением.

<<< К началу

 

 

???????@Mail.ru