Главная >> Физика 11 класс. Генденштейн. Дик

§ 28. Фотоэффект. Фотоны

Теория фотоэффекта

Эйнштейн воспринял гипотезу Планка об излучении и поглощении света отдельными порциями как указание на то, что свет представляет собой поток частиц, названных впоследствии фотонами.

Чтобы, поглотив фотон, электрон смог вырваться из металла, он должен совершить некоторую работу против сил электрического поля, поскольку ионная решетка притягивает электрон. Эту работу называют работой выхода и обозначают Авых.

Электрон-вольт

Энергию фотона, кинетическую энергию фотоэлектрона и работу выхода часто задают в электрон-вольтах (обозначают эВ).

1 эВ равен модулю изменения энергии электрона при прохождении им разности потенциалов, равной 1 В.

5. Чему равен 1 эВ в джоулях?

Максимальная кинетическая энергия будет у тех фотоэлектронов, которые, поглотив фотон, вырвались из металла, не потеряв энергию на столкновения с другими частицами металла.

Уравнение Эйнштейна для фотоэффекта

Из закона сохранения энергии следует, что

энергия hν поглощённого электроном фотона равна сумме работы выхода Авых и максимальной кинетической энергии вылетевшего электрона:

    закон сохранения энергии

Соотношение (3) называют уравнением Эйнштейна для фотоэффекта.

6. Поток фотонов с энергией 4 эВ каждый вырывает из металлической пластинки фотоэлектроны, максимальная кинетическая энергия которых равна 1,5 эВ. Чему равна работа выхода электронов из этого металла (в электрон- вольтах)?

Рассмотрим, как теория фотоэффекта объясняет второй и третий законы фотоэффекта.

Согласно уравнению Эйнштейна (3) максимальная кинетическая энергия вырванных светом электронов линейно зависит от частоты света:

    Ек = hν - Авых.                         (4)

А это и есть второй закон фотоэффекта (см. выше в этом параграфе).

Далее, если энергия падающих фотонов меньше работы выхода, то есть hν < Авых, то фотоны не смогут вырывать электроны из металла. Это объясняет существование красной границы фотоэффекта (третий закон фотоэффекта).

Теория Эйнштейна объясняет также физический смысл красной границы фотоэффекта.

7. Объясните, почему из уравнения (4) следует, что наименьшая частота света νmin, при которой может происходить фотоэффект, определяется уравнением

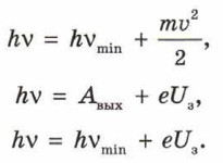
8. Объясните, почему справедливы следующие формулы, применяемые при решении задач, связанных с фотоэффектом:

Подсказка. Воспользуйтесь формулами (2), (3) и (5).

9. Красная граница фотоэффекта для некоторого металла равна 6 • 1014 Гц. При какой частоте падающего на этот металл света задерживающее напряжение равно 3 В?

 

 

???????@Mail.ru