Главная >> Физика 11 класс. Генденштейн. Дик

§ 28. Фотоэффект. Фотоны

Фотоэффект. Фотоны: Что мы узнали. Вопросы и задания

Что мы узнали

Дополнительные вопросы и задания

12. Энергия одного фотона в пучке монохроматического света (с определённой длиной волны) равна 4,4 • 10-19 Дж. Чему равна длина волны этого излучения в воде?

13. Длина волны света, соответствующей красной границе фотоэффекта для калия, равна 0,62 мкм.

    а) Чему равна максимальная скорость фотоэлектронов, вырываемых из калия светом с длиной волны 0,42 мкм?

    б) Во сколько раз эта скорость больше первой космической скорости?

    в) Во сколько раз эта скорость меньше скорости света?

14. Работа выхода электрона из некоторого металла равна 4,76 эВ. Чему равна длина волны, соответствующая красной границе фотоэффекта для этого металла?

15. В опыте по фотоэффекту с определённым металлом задерживающее напряжение равно 2 В для света с длиной волны 0,4 мкм. Чему будет равно задерживающее напряжение для света с длиной волны 0,77 мкм?

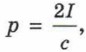
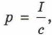
16. Интенсивностью излучения I называют отношение мощности Р излучения к площади S поверхности, на которую падает это излучение перпендикулярно поверхности. Объясните, почему, если угол падения света равен нулю, давление р света на поверхность связано с интенсивностью излучения соотношениями:

    а) если поверхность полностью поглощает свет;

    б) если поверхность зеркальная.

Подсказка. Воспользуйтесь формулами для энергии и импульса фотона, а также соотношением между силой и переданным импульсом.

17. На солнечную батарею площадью 50 м2 падают солнечные лучи перпендикулярно поверхности батареи. Батарея поглощает половину падающего на неё света. Мощность солнечного излучения, падающего на 1 м2, равна 1,4 кВт. Чему равна сила давления солнечного света на батарею?

Ответы >>>

 

 

???????@Mail.ru