Главная >> Колебания и волны. Физика 11 класс. Мякишев

Глава 1. Механические колебания

Ответы к упражнению 1 на тему: Механические колебания

1. х = 2,5 • 10-2 м; υx = 0,11 м/с; ax = -0,17 м/с2.

2. Увеличится.

3. Увеличится приблизительно в 1,000093 раза.

4. Период колебаний математического маятника равен где — ускорение свободного падения в неинерциальной системе отсчета, связанной с вагоном.

Модуль вектора равен Следовательно,

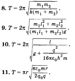
6. Увеличится в раз.

7. Период увеличится в 2 раза.

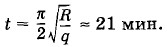
12. Тело достигнет центра Земли за время

Здесь R = 6400 км — радиус Земли.

 

 

???????@Mail.ru