Главная >> Колебания и волны. Физика 11 класс. Мякишев

Глава 2. Электрические колебания

§ 2.9. Закон Ома для электрической цепи переменного тока

Рассмотрим теперь более общий случай электрической цепи, в которой последовательно соединены проводник с активным сопротивлением R и малой индуктивностью, катушка с большой индуктивностью L и малым активным сопротивлением и конденсатор емкостью С (рис. 2.20).

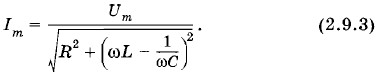
Чему равна амплитуда силы тока в такой цепи (колебательном контуре), если на ее концах поддерживается напряжение u(t) = Um sin ωt? Мы видели, что при включении по отдельности в цепь проводника с активным сопротивлением R, конденсатора емкостью С или катушки с индуктивностью L амплитуда силы тока определяется соответственно формулами (2.6.2), (2.7.3) и (2.8.4). Амплитуды же напряжений на резисторе, катушке индуктивности и конденсаторе связаны с амплитудой силы тока так:

В цепях постоянного тока напряжение на концах цепи равно сумме напряжений на отдельных последовательно соединенных участках цепи. Однако, если измерить результирующее напряжение на контуре и напряжения на отдельных элементах цепи переменного тока, окажется, что напряжение на контуре (действующее значение) не равно сумме напряжений на отдельных элементах.

Почему это так? Дело в том, что гармонические колебания напряжения на различных участках цепи сдвинуты по фазе друг относительно друга.

Действительно, квазистационарный ток в любой момент времени одинаков во всех участках цепи. Это значит, что одинаковы амплитуды и фазы токов, протекающих по участкам с емкостным, индуктивным и активным сопротивлением. Однако только на участке с активным сопротивлением колебания напряжения и силы тока совпадают по фазе. На конденсаторе колебания напряжения отстают по фазе от колебаний силы тока на π/2 (см. § 2.7), а на катушке индуктивности колебания напряжения опережают колебания силы тока на π/2 (см. § 2.8).

Векторная диаграмма электрической цепи

Для вывода закона Ома в случае электрической цепи переменного тока, изображенной на рисунке 2.20, нужно уметь складывать мгновенные колебания напряжений, сдвинутых по фазе друг относительно друга. Проще всего выполнять сложение нескольких гармонических колебаний с помощью векторных диаграмм, о которых было рассказано в § 1.11. Векторная диаграмма электрических колебаний в цепи позволит нам определить амплитуду силы тока в зависимости от амплитуды напряжения и сдвиг фаз между силой тока и напряжением.

Так как сила тока одинакова во всех участках цепи, то построение векторной диаграммы удобно начать с вектора силы тока m. Этот вектор изобразим в виде вертикальной стрелки (рис. 2.21). Напряжение на резисторе совпадает по фазе с силой тока. Поэтому вектор mR должен совпадать по направлению с вектором m. Его модуль равен UmR = ImR.

Колебания напряжения на катушке индуктивности опережают колебания силы тока на π/2 и соответствующий вектор mL должен быть повернут относительно вектора m на π/2. Его модуль равен UmL = ImωL. Если считать, что положительному сдвигу фаз соответствует поворот вектора против часовой стрелки, то вектор mL следует повернуть налево на π/2. (Можно было бы, конечно, поступить и наоборот.)

Вектор напряжения на конденсаторе mC отстает по фазе от вектора m на π/2 и поэтому повернут на этот угол относительно вектора m направо. Его модуль равен

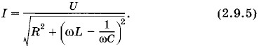
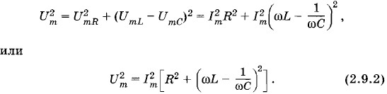
Для нахождения вектора суммарного напряжения m нужно сложить три вектора: mR, mL и mC. Вначале удобнее сложить два вектора mL и mC (рис. 2.22). Модуль этой суммы равен если Именно такой случай изображен на рисунке. После этого, сложив вектор mL + mC с вектором mR, получим вектор m, характеризующий колебания напряжения в сети.

По теореме Пифагора (из треугольника АОВ):

Из равенства (2.9.2) можно найти амплитуду силы тока в цепи:

Это и есть закон Ома для электрической цепи переменного тока, изображенной на рисунке 2.20.

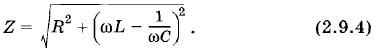
Благодаря сдвигу фаз между напряжениями на различных участках цепи полное сопротивление Z цепи (см. рис. 2.20) выражается так:

От амплитуд силы тока и напряжения можно перейти к действующим значениям этих величин. Они связаны друг с другом точно так же, как и амплитуды в формуле (2.9.3):

Мгновенное значение силы тока меняется со временем гармонически:

i = Im sin (ωt + φc),                     (2.9.6)

где φc — разность фаз между силой тока и напряжением в сети. Она зависит от частоты со и параметров цепи R, L, С.

Сдвиг фаз между током и напряжением

Сдвиг фаз φс между колебаниями силы тока и напряжения равен по модулю углу φ между векторами m и m (см. рис. 2.22). Как следует из этого рисунка,

Согласно рисунку 2.22, сила тока отстает от напряжения по фазе при условии Поэтому сдвиг фаз φс = -φ и

В частных случаях цепей с активным, емкостным и индуктивным сопротивлениями из этой формулы получаются правильные значения сдвига фаз.

 

 

???????@Mail.ru