Главная >> Колебания и волны. Физика 11 класс. Мякишев

Глава 2. Электрические колебания

Ответы к упражнению 2 на тему: Электрические колебания

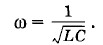
4. Частота собственных колебаний контура определяется формулой Томсона

    а) Если в катушке находится медный сердечник, то при периодических изменениях магнитного поля катушки в нем возникнут индукционные токи (токи Фуко), магнитное поле которых будет ослаблять магнитное поле катушки. Это приведет к уменьшению индуктивности катушки и, следовательно, к увеличению частоты.

    б) Если внести в катушку сердечник из феррита, то магнитное поле катушки увеличится. Соответственно увеличится индуктивность L катушки, а частота ω уменьшится.

5. Без постоянного магнита было бы удвоение частоты колебаний. В этом случае при прохождении через катушку телефона синусоидального тока мембрана совершала бы два колебания за один период колебаний силы тока, так как зависимость от времени индукции В магнитного поля, создаваемого этим током, имела бы вид, показанный на рисунке 1, (a), а сила притяжения мембраны не зависит от знака В.

В присутствии постоянного магнита, создающего магнитную индукцию, превышающую максимальную индукцию поля тока, график результирующей индукции будет иметь вид, изображенный на рисунке 1, (б). Поэтому теперь одно колебание тока будет соответствовать одному колебанию мембраны и удвоения частоты не произойдет.

6. Р е ш е н и е. Смещение электронного луча под влиянием поданного напряжения вдоль вертикали запишется так:

(см. задачу 4 в § 3.21 курса «Электродинамика»). Вдоль горизонтали (ось X) смещение луча

Для получения уравнения траектории нужно исключить из полученных уравнений время. После несложных преобразований получим уравнение

    а) Если Это уравнение эллипса.

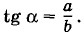
    б) Если φ = φ2 = π, то т. е. колебания происходят вдоль прямой (рис. 2), составляющей с осью Y угол α, определяемый равенством

8. 0,09 Гн.

11. а) Для схемы, изображенной на рисунке 2.39, а: 1,25 А; 150 В; 200 В;
б) для схемы (см. рис. 2.39, б): 2,6 А; 2,1 А; 1,6 А. Соответствующие векторные диаграммы построены на рисунке 3, а, б.

12. 2,8 А; -58°; 50 мкФ; 5,3 А.

13. 7 А, 56 В, 105 В (для схемы рис. 2.40, а); 17 А, 8 А, 15 А (для схемы рис. 2.40, б). Векторная диаграмма построена на рисунке 4.

14. I = 11,1 А; I1 = 10,3 А; I2 = 9,8 А; I3 = 5,5 А. Векторная диаграмма изображена на рисунке 5.

16. U = 150 В; векторная диаграмма построена на рисунке 6.

19. Ток одну катушку обтекает в направлении по часовой стрелке, а другую — против часовой стрелки, поэтому векторы индукции магнитных полей в катушках направлены противоположно. Следовательно, ЭДС, индуцируемые в катушках при их включении в качестве катушек обратной связи, имеют противоположные фазы. Вследствие этого потенциал на сетке лампы при включении каждой из катушек имеет противоположный знак.

20. Возникнут автоколебания.

 

 

???????@Mail.ru