Главная >> Колебания и волны. Физика 11 класс. Мякишев

Глава 3. Производство, передача, распределение и использование электрической энергии

§ 3.11. Передача и распределение электрической энергии

Потребители электроэнергии имеются повсюду. Производится же она преимущественно в местах, близких к источникам топливо- и гидроресурсов. Электроэнергию не удается консервировать в больших количествах, поэтому возникает необходимость в передаче ее на большие расстояния.

Передача электроэнергии связана с заметными потерями, так как электрический ток нагревает провода линий электропередачи (ЛЭП). Рассчитаем электрическую мощность, теряемую в проводах ЛЭП.

Мощность, передаваемая по линии трехфазного тока при симметричной нагрузке фаз (см. § 3.7),

Мощность трехфазного тока

где I и U — действующие значения линейного напряжения и линейной силы тока, а φ — угол сдвига фаз между фазным напряжением и силой тока.

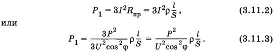
Мощность, теряемая в проводах,

Мощность, теряемая в проводах

Здесь ρ — удельное сопротивление материала проводов, l — их длина, S — площадь поперечного сечения.

Анализируя выражение (3.11.3), можно отыскать пути уменьшения теряемой мощности. Передаваемая мощность Р и дальность передачи энергии l определяются условиями электропередачи. Эти величины изменить невозможно. Удельное сопротивление р зависит от материала, из которого изготовлены провода. На практике используются преимущественно материалы с наименьшим значением ρ (медь, алюминий). Увеличение площади поперечного сечения проводов малоэффективно; значительное их утолщение невозможно из-за большой массы и стоимости линии. Поэтому остаются два пути уменьшения потерь электрической энергии: увеличение напряжения в линии электропередачи и повышение коэффициента мощности потребителя.

Когда коэффициент мощности cos φ мал, значительная часть энергии циркулирует по проводам от генератора к потребителям и обратно, что приводит к значительным потерям на нагревание проводов. При таком сравнительно высоком коэффициенте мощности, как cos ф = 0,8, потери в линии электропередачи, как видно из формулы (3.11.3), примерно в полтора раза больше, чем в случае, когда cos φ = 1. При современных масштабах передачи энергии повышение значения cos φ с 0,8 до 0,9 дало бы огромную экономию мощности, равную мощности нескольких крупных электростанций. Следовательно, борьба за высокий коэффициент мощности имеет народнохозяйственное значение.

Однако главный путь уменьшения потерь мощности в проводах ЛЭП — это повышение напряжения в линии передачи. Причем чем длиннее линия электропередачи, тем выгоднее использовать более высокое напряжение. Так, например, в городах электроэнергию при напряжении 220 В передают на расстояние не более 200 м, а при напряжении 6 кВ — на расстояние до 5 км. В высоковольтной ЛЭП Волжская ГЭС — Москва используют напряжение 500 кВ.

Между тем генераторы, устанавливаемые на электростанциях, рассчитаны на напряжение, не превышающее 16— 20 кВ. Более высокое напряжение потребовало бы принятия сложных специальных мер для изоляции обмоток и других частей генератора.

Поэтому при передаче энергии от мощных электростанций электрический ток по шинам поступает на трансформаторные повышающие подстанции. Они состоят из силовых трансформаторов, располагаемых обычно на открытом воздухе недалеко от генераторов, распределительного устройства и щита управления. После повышения напряжения на подстанции до 35, 110, 220, 500, 750 кВ энергия направляется в район потребителя на понижающие подстанции, где напряжение понижается до 6—10 кВ.

Высоковольтные линии электропередачи (ЛЭП) — это в основном «воздушные» линии. Их делают из голых алюминиевых, сталеалюминиевых или медных проводов, укрепленных на гирляндах изоляторов, которые подвешиваются на металлических и железобетонных опорах. Расстояние между проводами выбирается с таким расчетом, чтобы была исключена возможность пробоя воздушного промежутка между проводами при раскачивании их ветром. По вершинам опор прокладываются заземленные стальные оцинкованные тросы. Они предназначены для предохранения линии от атмосферного , электричества. Трос, расположенный над проводами, воспринимает на себя атмосферные электрические разряды и отводит электрические заряды в землю.

Окончание параграфа >>>

 

 

???????@Mail.ru