Главная >> Колебания и волны. Физика 11 класс. Мякишев

Глава 3. Производство, передача, распределение и использование электрической энергии

3.13. Примеры решения задач на тему: Производство, передача, распределение и использование электрической энергии

Задача 4

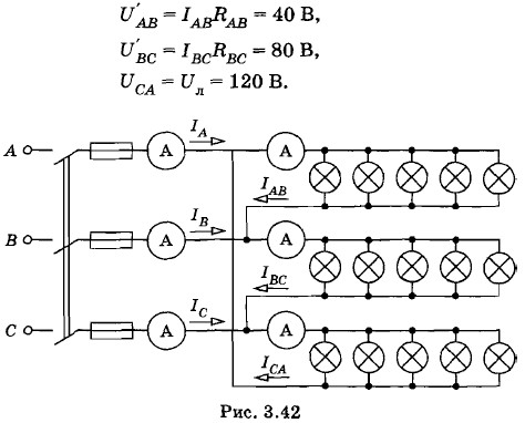
К трехфазной сети трехфазного тока (рис. 3.42) с напряжением Uл = 120 В присоединены потребители энергии, имеющие сопротивления RAB = 10 Ом, RBC = RCA = 20 Ом. Определите, под каким напряжением будут находиться потребители при перегорании предохранителя в проводе В.

Решение. При перегорании предохранителя потребители АВ и ВС окажутся соединенными последовательно и включенными на линейное напряжение UД = 120 В. Силы токов IAB и IВС равны:

Напряжения на зажимах потребителей:

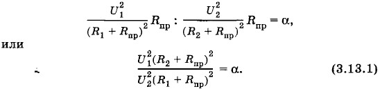
Задача 5

Двухпроводная линия электропередачи может работать при двух различных напряжениях генератора U1 и U2 и сопротивлениях нагрузки R1 и R2. Отношение потерь мощности на подводящих проводах для этих случаев равно α. Определите отношение напряжений U2/U1 при условии, что мощность, отдаваемая генератором, в обоих случаях одинакова.

Решение. Сопротивление подводящих проводов Rnp в обоих случаях одно и то же. Мощность, теряемая в проводах,

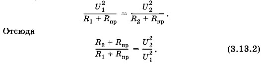
где I — сила тока в цепи. Отношение потерь мощности:

Полная мощность, отдаваемая генератором, равна:

По условию задачи в обоих случаях генератор отдает одну и ту же мощность:

Подставляя выражение для отношения сопротивлений (3.13.2) в уравнение (3.13.1) получим:

Следовательно,

<<< К началу параграфа

 

 

???????@Mail.ru