Главная >> Колебания и волны. Физика 11 класс. Мякишев

Глава 4. Механические волны. Звук

§ 4.5. Уравнение бегущей волны

Найдем уравнение, описывающее колебательный процесс в любой точке пространства при распространении гармонической волны. Для определенности будем рассматривать волну, бегущую по длинному тонкому резиновому шнуру.

Ось X направим вдоль шнура, а начало отсчета свяжем с левым концом шнура (см. рис. 4.11). Смещение любой колеблющейся точки шнура от положения равновесия обозначим буквой s. Для описания волнового процесса необходимо знать значение s в любой точке шнура в любой момент времени, а следовательно, знать вид функции s = s(x, t).

Заставим конец шнура (точка х = 0) совершать гармонические колебания с частотой ω. Колебания этой точки будут происходить по закону

s = smsin ωt,                     (4.5.1)

если начальную фазу колебаний считать равной нулю. Здесь sm — амплитуда колебаний (рис. 4.14, а).

Колебания распространяются вдоль шнура (оси X) со скоростью υ и в произвольную точку шнура с координатой х придут спустя время

Эта точка также начнет совершать гармонические колебания с частотой ω, но с запаздыванием на время τ (рис. 4.14, б). Если пренебречь затуханием волны по мере ее распространения, то колебания в точке х будут происходить с той же амплитудой sm, но с другой фазой:

Это и есть уравнение бегущей волны*, распространяющейся в положительном направлении оси X. В случае, когда начальная фаза колебаний в точке х = 0 равна не нулю, а произвольной величине φ0, уравнение бегущей волны запишется так:

    * Волна называется бегущей по той причине, что, как мы увидим в следующем параграфе, существуют и стоячие волны, у которых максимумы и минимумы колебаний не перемещаются с течением времени.

Амплитуда колебаний sm называется амплитудой волны. Величину, стоящую под знаком синуса, называют фазой волны. В общем случае фаза волны равна:

Разумеется, вместо синуса при записи уравнения бегущей волны мы могли бы использовать и косинус. Замена синуса на косинус эквивалентна изменению начальной фазы на π/2.

Выражение (4.5.5) для фазы волны можно преобразовать, если выразить циклическую частоту колебаний ω через частоту ν или период Т, а скорость волны υ заменить ее значением согласно формуле (4.3.2). Для случая φ0 = 0 получим:

Уравнение (4.5.3) бегущей гармонической волны примет при этом форму:

В этой форме записи отчетливо видно, что функция s(x, t) обладает периодичностью двоякого рода. Она периодична по времени при фиксированном х (период равен периоду колебаний Т, см. рис. 4.14) и периодична по пространству при фиксированном моменте времени (период равен длине волны λ, см. рис. 4.11). Это означает, что при замене t → t + Т или х → х + λ смещение s от положения равновесия согласно уравнению (4.5.7) остается одним и тем же.

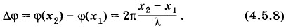
Итак, в бегущей волне все точки среды (участки шнура) совершают вынужденные колебания с одним и тем же периодом, но с различными фазами. Две точки с координатами х1 и х2 имеют разность фаз

При х2 - х1 = λ разность фаз равна 2π. Точки колеблются синфазно. Если то колебания происходят в противофазе.

Надо отметить, что строго гармонических волн не существует. Из-за неизбежных потерь механической энергии амплитуда колебаний постепенно уменьшается по мере распространения волны от источника возбуждения колебаний. Можно приближенно говорить о гармонической волне в том случае, когда затухание бегущей волны на одной длине волны очень мало и по всей длине шнура укладывается много длин волн. Уравнение (4.5.3) описывает процессы не только в поперечной волне, но и в продольной, например в длинном упругом стержне. При этом s(x, t) по-прежнему имеет смысл смещения колеблющихся частей стержня от положения равновесия. Эти смещения в продольной волне происходят вдоль направления распространения волны (оси X).

 

 

???????@Mail.ru