Главная >> Колебания и волны. Физика 11 класс. Мякишев

Глава 4. Механические волны. Звук

Стоячие волны

Уравнение стоячей волны

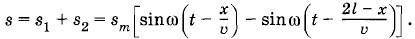
Получим уравнение стоячей волны на резиновом шнуре длиной l. Уравнение бегущей волны в направлении оси X, совпадающем с растянутым шнуром, имеет вид:

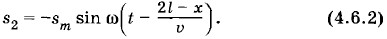
Волна проходит от начала шнура (точка x0 = 0) до конца (xl = l) и обратно до точки на расстоянии х от начала шнура путь 2l - х. Смещения в отраженной волне вследствие изменения фазы при отражении имеют противоположный знак по сравнению со смещением s1 в бегущей волне. Если пренебречь затуханием, то уравнение отраженной волны запишется следующим образом:

Результирующее смещение произвольной точки шнура с координатой хравно:

Воспользовавшись теоремой о разности синусов, получим уравнение стоячей волны:

Модуль максимального смещения различных колеблющихся участков шнура, т. е. амплитуда их колебаний, равен:

На конце шнура при х = l амплитуда равна нулю. Это один из узлов стоячей волны. Следующие узловые точки лежат на расстояниях Δx друг от друга, определяемых условием Отсюда

Между узлами располагаются пучности с максимальной амплитудой колебаний.

Расстояние между соседними узлами (или пучностями) равно половине длины волны (см. рис. 4.16).

Фаза колебаний всех точек между двумя соседними узлами в стоячей волне одинакова. Это означает, что смещение точек между соседними узлами происходит в данный момент времени в одну и ту же сторону. Но при переходе через узел фаза колебаний меняется на π, т. е. смещения меняют знак. На рисунке 4.17 вы видите профиль стоячей волны в близкие моменты времени t и t + ωt.

Таким образом, если в бегущей волне точки шнура колеблются с одинаковой амплитудой, но с различными фазами, то в стоячей волне фаза колебаний точек между узлами одна и та же, но амплитуда меняется от точки к точке.

Наблюдение стоячей волны

В справедливости сделанных выводов можно убедиться на опыте. При небольшой сноровке нетрудно получить стоячую волну на резиновом шнуре или просто на веревке. (Конечно, стоячая волна не возникает сразу, как только вы начнете раскачивать веревку. В первый момент отраженной волны вообще не будет. Нужно немного подождать, когда процесс установится.) Можно заметить, что, действительно, узлы и пучности остаются на местах, и фаза колебаний всех точек, расположенных между соседними узлами, одна и та же, и участки шнура между узлами одновременно движутся вверх либо вниз.

Энергия в стоячей волне

В стоячей волне, в отличие от бегущей, в среднем по времени не происходит переноса энергии. Это понятно, так как бегущие навстречу друг другу волны несут одинаковую энергию в противоположных направлениях. Энергия волны между двумя узлами остается неизменной. Совершается только превращение кинетической энергии в потенциальную и наоборот. Когда участки шнура проходят через положение равновесия, кинетическая энергия имеет максимальное значение. Через четверть периода кинетическая энергия убывает до нуля и максимальной становится потенциальная энергия. Отклонения частиц шнура в этот момент от их положений равновесия максимальны (шнур при этом более всего деформирован в узлах и менее всего в пучностях).

<<< К началу параграфа

 

 

???????@Mail.ru