Главная >> Колебания и волны. Физика 11 класс. Мякишев

Глава 5. Электромагнитные волны

Ответы к упражнению 5 на тему: Электромагнитные волны. Колебания и волны

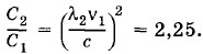
4. Здесь C1 — начальная, а С2 — новая емкость переменного конденсатора.

5. 1200 м.

У к а з а н и е. Учесть, что при переходе из одной среды в другую частота колебаний электромагнитной волны не изменяется.

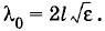
7. На вибраторе образуется стоячая волна, длина которой λ = 2l. В пустоте длина волны (как и скорость) больше в раз. Следовательно, в пустоте

8. 13 600.

9. Отраженная от крыши волна достигает приемной антенны с запаздыванием на Скорость электронного луча вдоль экрана где — время, в течение которого луч прочерчивает одну строку. (Временем обратного хода луча пренебрегаем.) Смещение изображений Δl = υτ ≈ 7,8 см.

10. 10 км; 14 км; 18 км.

11. 150 км; 150 м.

12. 91 км.

 

 

???????@Mail.ru