Главная >> Физика 11 кл. Мякишев

Глава 13. Физика атомного ядра

Радиоактивные превращения

Было обнаружено, что в результате атомного превращения образуется вещество совершенно нового вида, полностью отличное по своим физическим и химическим свойствам от первоначального вещества. Это новое вещество, однако, само также неустойчиво и испытывает превращение с испусканием характерного радиоактивного излучения2.

    2 В действительности могут образовываться и стабильные ядра.

Таким образом, точно установлено, что атомы некоторых элементов подвержены спонтанному распаду, сопровождающемуся излучением энергии в количествах, огромных по сравнению с энергией, освобождающейся при обычных молекулярных видоизменениях».

После того как было открыто атомное ядро, сразу же стало ясно, что именно оно претерпевает изменения при радиоактивных превращениях. Ведь α-частиц вообще нет в электронной оболочке, а уменьшение числа электронов оболочки на единицу превращает атом в ион, а не в новый химический элемент. Выброс же электрона из ядра меняет заряд ядра (увеличивает его) на единицу.

Итак, радиоактивность представляет собой самопроизвольное превращение одних ядер в другие, сопровождаемое испусканием различных частиц.

Правило смещения

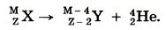
Превращения ядер подчиняются так называемому правилу смещения, сформулированному впервые Содди: при α-распаде ядро теряет положительный заряд 2е и его масса М убывает примерно на четыре атомные единицы массы. В результате элемент смещается на две клетки к началу периодической системы.

Символически это можно записать так:

Правило смещения

Здесь элемент обозначается, как и в химии, общепринятыми символами: заряд ядра записывается в виде индекса слева внизу у символа, а атомная масса — в виде индекса слева вверху у символа. Например, водород обозначается символом Для α-частицы, являющейся ядром атома гелия, применяется обозначение и т. д. При β-распаде из ядра вылетает электрон. В результате заряд ядра увеличивается на единицу, а масса остается почти неизменной:

заряд ядра увеличивается на единицу, а масса остается почти неизменной

Здесь обозначает электрон: индекс 0 вверху означает, что масса его очень мала по сравнению с атомной единицей массы, — электронное антинейтрино — нейтральная частица с очень малой (возможно, нулевой) массой, уносящая при β-распаде часть энергии. Образованием антинейтрино сопровождается β-распад любого ядра и в уравнениях соответствующих реакций эту частицу часто не указывают.

После β-распада элемент смещается на одну клетку ближе к концу периодической системы. Гамма-излучение не сопровождается изменением заряда; масса же ядра меняется ничтожно мало.

Согласно правилу смещения при радиоактивном распаде сохраняется суммарный электрический заряд и приближенно сохраняется относительная атомная масса ядер. Возникшие при радиоактивном распаде новые ядра могут быть также радиоактивны и испытывать дальнейшие превращения.


При радиоактивном распаде происходит превращение атомных ядер.


Вопрос к параграфу

Какие из известных вам законов сохранения выполняются при радиоактивном распаде?

<<< К началу

 

 

???????@Mail.ru