Главная >> Физика 11 кл. Мякишев

Глава 16. Солнце и звезды

§ 120. Солнце

Основные характеристики Солнца

Солнце — лишь одна из бесчисленного множества звезд, существующих в природе. Благодаря близости Земли к Солнцу мы имеем возможность изучать происходящие на нем процессы и по ним судить об аналогичных процессах в звездах, непосредственно не видимых из-за колоссального их удаления.

Шарообразное Солнце представляется нам светящимся диском. Видимая поверхность Солнца называется фотосферой, ее радиус считается радиусом Солнца. На среднем расстоянии от Солнца до Земли (а0 = 1 а. е.), угол, под которым виден радиус фотосферы θ = 16', поэтому линейный радиус Солнца R = а0 • sin θ = 1,5 • 108 км • 0,00465 = 700 000 км, что в 109 раз превышает радиус Земли.

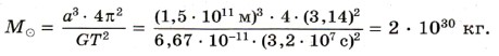
Масса Солнца определяется по движению Земли вокруг Солнца и третьему обобщенному закону Кеплера, согласно которому (если пренебречь массой планеты по сравнению с массой Солнца М)

Масса Солнца

В этой формуле а = а0, G = 6,67 • 10-11 м3/кг • с2 — гравитационная постоянная, Т = Т0 = 365,25 сут. — период обращения Земли вокруг Солнца. Так как 1 сут. = 1440 мин = 86 400 с, то Т0 = 365,25 • 86 400 = 3,2 • 107 с.

Ускорение свободного падения на поверхности Солнца в 28 раз больше, чем на поверхности Земли, и равно 274 м/с2.

На фотографических снимках Солнца часто видны темные пятна, возникающие в его фотосфере. Если в течение нескольких дней следить за пятнами, то можно заметить их перемещение, что указывает на вращение Солнца вокруг оси. Такие наблюдения показали, что Солнце вращается не как твердое тело. Период его обращения вокруг оси вблизи экватора составляет 25 сут., а вблизи полюса — 30 сут. Линейная скорость вращения Солнца на экваторе составляет 2 км/с.

Измерение освещенности, которую создает Солнце на Земле, показало, что на земную поверхность площадью в 1 м2, расположенную перпендикулярно к солнечным лучам, ежесекундно поступает от Солнца энергия, равная 1370 Дж. Эта величина получила название солнечной постоянной E = 1,37 кВт/м2. По ней нетрудно рассчитать светимость Солнца L, или мощность солнечного излучения — энергию, излучаемую Солнцем за 1 с со всей его поверхности. Для этого достаточно умножить солнечную постоянную на площадь поверхности сферы, в центре которой находится Солнце, радиус которой равен расстоянию от Земли до Солнца а0 = 1,5 • 1011 м. Так как площадь поверхности сферы радиусом а0 равна S = 4πR2, где π = 3,14, то светимость Солнца

L = SE = 4 • 3,14 (1,5 • 1011 м)2 • 1,37 • 103 Вт/м2 = 4 • 1026 Вт.

На долю Земли приходится всего лишь одна двухсотмиллиардная доля энергии, излучаемой Солнцем, но и ее достаточно для расцвета и многообразия жизни на нашей планете.

Судить о температуре Солнца (и звезд) мы можем только по его (их) излучению. Солнце является источником излучения различных длин волн — от длинноволнового радио- до коротковолнового рентгеновского и гамма-излучения. На рисунке XIII цветной вклейки показан наблюдаемый спектр Солнца в видимом диапазоне длин волн, полученный с помощью спектрографа. На нем мы видим, что на фоне непрерывного спектра (цветная радуга) видны линии поглощения различных химических элементов.

По наличию спектральных линий астрономы определяют химический состав Солнца. Оказалось, что Солнце почти на 71% состоит из водорода, 27% составляет гелий, на остальные химические элементы приходится около 2% массы.

Астрономы предполагают, что излучение Солнца близко по своим характеристикам к излучению абсолютно черного тела, законы излучения которого хорошо известны.

Согласно закону Вина длина волны, на которую приходится максимум излучения нагретого тела λmах, связана с температурой Т формулой

Максимум излучения нагретого тела

Максимум излучения Солнца приходится на длину волны λmах = 4,8 • 10-7 м, следовательно, температура Солнца должна быть

Температура Солнца

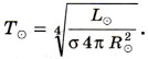
Другой метод оценки температуры основан на законе Стефана — Больцмана, который гласит: мощность излучения i с квадратного метра поверхности абсолютно черного тела пропорциональна четвертой степени его абсолютной температуры Т, т. е.

i = σТ4 Вт/м2,                         (16.2)

где σ = 5,67 • 10-8 Вт/(м2 • К) — постоянная величина. Так как площадь солнечной поверхности S = 4πR2, то светимость Солнца

L = iS = σТ4πR2= 4 • 1026 Вт.                         (16.3)

Отсюда следует, что температура солнечной фотосферы Подставляя в эту формулу указанные выше значения, получим, что T = 5800 К, что мало отличается от результата, полученного по закону Вина. Обычно среднюю температуру солнечной фотосферы считают близкой к 6000 К.

Строение солнечной атмосферы. Все виды излучений, которые мы воспринимаем от Солнца, образуются в его самых верхних слоях, в атмосфере. Самый глубокий и плотный слой атмосферы — фотосфера — имеет толщину около 200 км, плотность вещества в ней составляет 10-5 кг/м3, что значительно меньше плотности земной атмосферы. Несмотря на малое значение толщины и плотности, фотосфера непрозрачна для всех видов излучений, образующихся в более глубоких слоях Солнца, поэтому мы не можем заглянуть в его подфотосферные слои.

Окончание >>>

 

 

???????@Mail.ru