Главная >> Физика 11 кл. Мякишев

Глава 16. Солнце и звезды

Основные характеристики звезд

Массы звезд удалось измерить только у звезд, входящих в состав двойных систем. И они определялись по параметрам орбит звезд и периоду их обращения вокруг друг друга с использованием третьего обобщенного закона Кеплера. Оказалось, что массы всех звезд лежат в пределах

0,05М ≤ М ≤ 100М

Для звезд главной последовательности имеется связь между массой звезды и ее светимостью: чем больше масса звезды, тем больше ее светимость.

чем больше масса звезды, тем больше ее светимость

Так, звезда спектрального класса В имеет массу около М ≈ 20М и ее светимость почти в 100 000 раз больше солнечной.

Источник энергии Солнца и звезд

По современным представлениям, источником энергии, поддерживающим излучения Солнца и звезд, служит ядерная энергия, которая выделяется при термоядерных реакциях образования (синтеза) ядер атомов гелия из ядер атомов водорода. При реакции синтеза из четырех ядер атомов водорода (четырех протонов) образуется ядро атома гелия, при этом выделяется энергия ΔЕ = 4,8 • 10-12 Дж, называемая энергией связи, две элементарные частицы нейтрино и два позитрона (4Н Не + 2е+ + 2ν + ΔЕ).

Для протекания ядерных реакций необходима температура выше нескольких миллионов кельвинов, при которой участвующие в реакции протоны с одинаковыми зарядами смогли бы получить достаточную энергию для взаимного сближения, преодоления электрических сил отталкивания и слияния в одно новое ядро. В результате термоядерных реакций синтеза из водорода массой 1 кг образуется гелий массой 0,99 кг, дефект масс Δm = 0,01 кг и выделяется энергия q = Δmc2 = 9 • 1014 Дж.

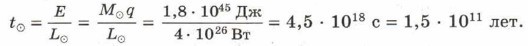
Теперь можно оценить, на сколько времени хватит у Солнца запасов водорода, чтобы поддерживать наблюдаемое свечение Солнца, т. е. время жизни Солнца. Запас ядерной энергии Е = Mq = 2 • 1030 • 9 • 1014 = 1,8 • 1045 Дж. Если поделить этот запас ядерной энергии на светимость Солнца L, то мы получим время жизни Солнца:

Время жизни Солнца

Если учесть, что Солнце состоит по крайней мере на 70% из водорода и ядерные реакции протекают только в центре, в солнечном ядре, масса которого составляет около 0,1М и где температура достаточно высокая для протекания термоядерных реакций, то время жизни Солнца и звезд, похожих на Солнце, составит t ≈ 1010 лет. Солнце, по современным данным, существует уже около 5 млрд лет, так что ему еще жить и жить!

Термоядерные реакции синтеза гелия из водорода являются источником энергии звезд главной последовательности.


Определение спектров, цвета, температуры, светимости и масс звезд позволили классифицировать их по спектральным классам и обнаружить связь между спектральным классом и светимостью звезд, а также связь между их массой и светимостью.


Вопросы к параграфу

1. Перечислите основные группы звезд, которые выделяют на диаграмме «спектр — светимость».

2. Чем отличаются звезды одного спектрального класса, но принадлежащие разным группам?

<<< К началу

 

 

???????@Mail.ru