Главная >> Физика 11 кл. Мякишев

Глава 3. Механические колебания

Механические колебания: Примеры решения задач

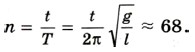
1. Сколько колебаний совершает математический маятник длиной l = 4,9 м за время t = 5 мин?

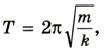
Р е ш е н и е. Период колебаний определяется по формуле

    Период колебаний

Искомое число колебаний можно найти так:

    число колебаний

2. Вертикально подвешенная пружина растягивается прикрепленным к ней грузом на Δl = 0,8 см. Чему равен период Т свободных колебаний груза? (Массой пружины пренебречь.)

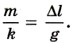
Р е ш е н и е. Период колебаний груза, прикрепленного к пружине, определяется формулой

    Период колебаний груза

где m — масса груза; k — жесткость пружины. На груз действуют сила тяжести T и сила упругости ynp. Когда груз находится в равновесии, эти силы равны по модулю:

    FT = Fynp.

Так как FT = mg и Fynp = k Δl (закон Гука), то mg = kΔl, откуда

Следовательно,

    Период колебаний груза, прикрепленного к пружине

3. На горизонтальном стержне находится груз, прикрепленный к пружине (см. рис. 3.3). Другой конец пружины закреплен. В некоторый момент времени груз смещают от положения равновесия на хm = 10 см и отпускают. Определите координату груза спустя 1/8 периода колебаний. (Трение не учитывать.)

Р е ш е н и е. Зависимость координаты груза от времени выражается так:

    x = xm cos ω0t.

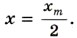
4. Груз, прикрепленный к пружине, колеблется на горизонтальном гладком стержне (см. рис. 3.3). Определите отношение кинетической энергии груза к потенциальной энергии системы в момент, когда груз находится в точке, расположенной посредине между крайним положением и положением равновесия.

Р е ш е н и е. Координата указанной точки равна половине амплитуды колебаний: Потенциальная энергия системы в момент прохождения груза через эту точку равна:

    Потенциальная энергия системы в момент прохождения груза через точку

В любой момент времени выполняется равенство

    выполняется равенство

Поэтому кинетическая энергия груза в момент прохождения им указанной точки определяется так:

    кинетическая энергия груза в момент прохождения

 

 

???????@Mail.ru