Главная >> Физика 11 кл. Мякишев

Глава 4. Электромагнитные колебания

Колебательный контур. Превращение энергии при электромагнитных колебаниях

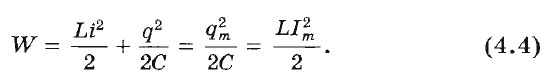
Полная энергия W электромагнитного поля контура равна сумме энергий его магнитного и электрического полей:

    Полная энергия

В момент, когда конденсатор полностью разрядится (q = 0), энергия электрического поля станет равной нулю. Энергия же магнитного поля тока, согласно закону сохранения энергии, будет максимальной. В этот момент сила тока также достигнет, конечно, максимального значения Im.

Несмотря на то что к этому моменту разность потенциалов на концах катушки становится равной нулю, электрический ток не может прекратиться сразу. Этому препятствует явление самоиндукции. Как только сила тока и созданное им магнитное поле начнут уменьшаться, возникает ЭДС самоиндукции, стремящаяся поддержать ток.

В результате конденсатор будет перезаряжаться до тех пор, пока сила тока, постепенно уменьшаясь, не станет равной нулю. Энергия магнитного поля в этот момент также будет равна нулю, энергия электрического поля конденсатора опять станет максимальной.

После этого конденсатор вновь начнет перезаряжаться, и система возвратится в исходное состояние. Если бы не было потерь энергии, то этот процесс продолжался бы сколь угодно долго. Колебания были бы незатухающими. Через промежутки времени, равные периоду колебаний, состояние системы в точности повторялось бы. Полная энергия при этом сохранялась бы неизменной, и ее значение в любой момент времени было бы равно максимальной энергии электрического поля или максимальной энергии магнитного поля:

    Максимальной энергии электрического поля или максимальной энергии магнитного поля

Но в действительности потери энергии неизбежны. Так, в частности, катушка и соединительные провода обладают сопротивлением R, а это ведет к постепенному превращению энергии электромагнитного поля во внутреннюю энергию проводника.


В колебательном контуре энергия электрического поля заряженного конденсатора периодически переходит в энергию магнитного поля тока. При отсутствии сопротивления в контуре полная энергия электромагнитного поля остается неизменной.


Вопросы к параграфу

1. Чему равна энергия контура в произвольный момент времени?

2. Почему при подключении конденсатора к катушке он разряжается постепенно?

<<< К началу

 

 

???????@Mail.ru