Главная >> Физика 11 кл. Мякишев

Глава 5. Производство, передача и использование электрической энергии

Краткие итоги главы 5: Производство, передача и использование электрической энергии

1. Электрический ток вырабатывается преимущественно электромеханическими индукционными генераторами. Эти генераторы превращают механическую энергию в энергию электрического тока.

2. Переменный электрический ток преобразуется с помощью трансформаторов. Трансформатор имеет две обмотки, надетые на стальной сердечник. Он используется для увеличения или уменьшения напряжения при минимальных потерях энергии. Получаемое с его помощью изменение напряжения определяется отношением числа витков N1 в первичной обмотке к числу витков N2 во вторичной обмотке:

определяется отношением числа витков N<sub>1</sub> в первичной обмотке к числу витков N<sub>2</sub> во вторичной обмотке

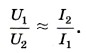
Во сколько раз увеличивается (уменьшается) напряжение, во столько же (примерно) раз уменьшается (увеличивается) сила тока:

Во сколько раз увеличивается (уменьшается) напряжение, во столько же (примерно) раз уменьшается (увеличивается) сила тока

4. Потери электроэнергии в проводниках обратно пропорциональны квадрату напряжения на них. Поэтому передачу электрической энергии по проводам выгодно осуществлять при высоком напряжении. Трансформаторы на электростанциях повышают напряжение перед передачей энергии на большие расстояния. На конце линии электропередачи напряжение понижают с помощью трансформаторов, и электрический ток поступает к потребителям.

 

 

???????@Mail.ru