Главная >> Физика 11 кл. Мякишев

Глава 8. Световые волны

§ 61. Закон преломления света (окончание)

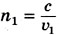
Показатель преломления среды относительно вакуума называют абсолютным показателем преломления этой среды. Он показывает, во сколько раз скорость света в вакууме больше, чем в среде, и равен отношению синуса угла падения к синусу угла преломления при переходе светового луча из вакуума в данную среду:

Пользуясь формулой (8.5), можно выразить относительный показатель преломления через абсолютные показатели преломления n1 и n2 первой и второй сред.

Действительно, так как и где с — скорость света в вакууме, то

показатель преломления

Среду с меньшим абсолютным показателем преломления принято называть оптически менее плотной средой.

Абсолютный показатель преломления определяется скоростью распространения света в данной среде, которая зависит от физических свойств и состояния среды, т. е. от температуры вещества, его плотности, наличия в нем упругих напряжений. Показатель преломления зависит также и от длины волны λ света. Для красного света он меньше, чем для зеленого, а для зеленого меньше, чем для фиолетового. Поэтому в таблицах значений показателей преломления для разных веществ обычно указывается, для какого света приведено данное значение n и в каком состоянии находится среда. Если таких указаний нет, то это означает, что зависимостью от приведенных факторов можно пренебречь.

В большинстве случаев приходится рассматривать переход света через границу воздух — твердое тело или воздух — жидкость, а не через границу вакуум — среда. Однако абсолютный показатель преломления n2 твердого или жидкого вещества отличается от показателя преломления того же вещества относительно воздуха незначительно. Так, абсолютный показатель преломления воздуха при нормальных условиях для желтого света равен примерно n1 ≈ 1,000292. Следовательно,

абсолютный показатель преломления

Значения показателей преломления для некоторых веществ относительно воздуха приведены ниже в таблице (данные относятся к желтому свету).

Значения показателей преломления

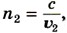
Ход лучей в треугольной призме

С помощью закона преломления света можно рассчитать ход лучей в различных оптических устройствах, например в треугольной призме, изготовленной из стекла или другого прозрачного материала.

Ход лучей в треугольной призме

На рисунке 8.9 изображено сечение стеклянной призмы плоскостью, перпендикулярной ее боковым ребрам. Луч в призме отклоняется к основанию, преломляясь на гранях ОА и ОВ. Угол φ между этими гранями называют преломляющим углом призмы. Угол θ отклонения луча зависит от преломляющего угла φ призмы, показателя преломления n материала призмы и угла падения α. Он может быть вычислен с помощью закона преломления (см. формулу (8.4)). При малых углах α и φ θ ≈ (n - 1)φ, где n — относительный показатель преломления.


На основе принципа Гюйгенса выведен закон преломления света.


Вопросы к параграфу

1. Каков физический смысл показателя преломления?

2. Чем отличается относительный показатель преломления от абсолютного?

<<< К началу

 

 

???????@Mail.ru