Главная >> Физика 11 кл. Мякишев

Глава 11. Световые кванты

Фотоэффект

Изменяя в этом опыте интенсивность излучения, удалось установить, что число электронов, вырываемых светом с поверхности металла за 1 с, прямо пропорционально поглощаемой за это время энергии световой волны.

На основании результатов этого опыта можно сформулировать первый закон фотоэффекта: фототок насыщения прямо пропорционален падающему световому потоку Ф.

ток насыщения

Теперь остановимся на измерении кинетической энергии (или скорости) электронов. Из графика, приведенного на рисунке 11.3, видно, что сила фототока отлична от нуля и при нулевом напряжении. Это означает, что часть вырванных светом электронов достигает правого (см. рис. 11.2) электрода и при отсутствии напряжения. Если изменить полярность батареи, то сила тока уменьшится, и при некотором напряжении U3 обратной полярности она станет равной нулю.

Это значит, что электрическое поле тормозит вырванные электроны до полной остановки, а затем возвращает их на электрод.

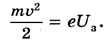
Задерживающее напряжение U3 зависит от максимальной кинетической энергии, которую имеют вырванные светом электроны. Измеряя задерживающее напряжение и применяя теорему о кинетической энергии (см. учебник физики для 10 класса), можно найти максимальное значение кинетической энергии электронов:

максимальное значение кинетической энергии электронов

При изменении интенсивности света (плотности потока излучения) задерживающее напряжение, как показали опыты, не меняется. Значит, не меняется кинетическая энергия электронов. С точки зрения волновой теории света этот факт непонятен. Ведь чем больше интенсивность света, тем большие силы действуют на электроны со стороны электромагнитного поля световой волны и тем большая энергия, казалось бы, должна передаваться электронам.

На опытах было обнаружено, что кинетическая энергия вырываемых светом электронов зависит только от частоты света.

Второй закон фотоэффекта: максимальная кинетическая энергия фотоэлектронов линейно растет с частотой света и не зависит от его интенсивности.

Если частота света меньше определенной для данного вещества минимальной частоты νmin, то фотоэффекта не происходит.


Законы фотоэффекта просты по форме. Но зависимость кинетической энергии вырванных светом электронов от частоты света требует объяснения.


Вопросы к параграфу

1. Чему равна постоянная Планка?

2. В чем состоят основные законы фотоэффекта?

<<< К началу

 

 

???????@Mail.ru