Главная >> Физика. 11 класс. Пурышева

Глава 2. Взаимосвязь электрического и магнитного полей

Индукционный ток в проводниках, движущихся в магнитном поле

Если в неподвижном проводнике движущийся магнит вызывает индукционный ток, можно ли получить тот же результат, двигая проводник в магнитном поле?

Предположим, что в магнитном поле индукцией В расположен горизонтально прямоугольный контур, замкнутый на гальванометр. Вектор магнитной индукции составляет угол а с плоскостью контура (рис. 66). Сторона контура АС длиной l может перемещаться с постоянной скоростью υ вдоль сторон AM и CN. При перемещении проводника гальванометр зафиксирует индукционный ток, поскольку площадь контура, а значит, и магнитный поток через него изменяются.

    Рис. 66

В движущихся проводниках индукционный ток возникает вследствие того, что на электроны проводника (движущиеся вместе с ним) действует сила Лоренца:

    FЛ = qυBsin α.

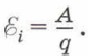
ЭДС индукции равна отношению работы силы Лоренца по перемещению заряда в проводнике к значению заряда.

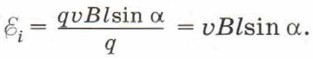
    ЭДС индукции

Работа силы Лоренца при перемещении проводника на расстояние l равна А = qυBlsin α. Тогда ЭДС индукции

    ЭДС индукции

Несмотря на то что причина индукционного тока в проводниках, движущихся в постоянном магнитном поле, иная, чем в случае изменяющегося магнитного поля, ЭДС индукции можно вычислить в обоих случаях по закону электромагнитной индукции.

    Вопросы для самопроверки

В чём причина возникновения индукционного тока в проводниках, движущихся в магнитном поле?

 

 

???????@Mail.ru