Главная >> Физика. 11 класс. Пурышева

Глава 3. Электромагнитные колебания и волны

§ 20. Свободные электромагнитные колебания (окончание)

Частота и период колебаний в контуре

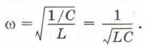
4. Используя аналогию между колебаниями в контуре и колебаниями пружинного маятника, заменим в формуле собственной частоты колебаний маятника массу m на индуктивность L, а жёсткость k — на величину, обратную ёмкости конденсатора 1/С. Получим

    частоты колебаний маятника

Таким образом, собственная частота свободных электромагнитных колебаний определяется параметрами колебательного контура — ёмкостью конденсатора и индуктивностью катушки.

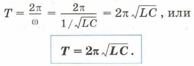
Для периода свободных электромагнитных колебаний можно записать:

    свободных электромагнитных колебаний

Эту формулу вывел в 1853 г. английский физик Уильям Томсон (1824—1907) (лорд Кельвин), поэтому её называют формулой Томсона.

    Вопросы для самопроверки

1. Что представляет собой колебательный контур? Какой колебательный контур является идеальным?

2. Докажите, что колебательный контур — колебательная система.

3. Опишите процессы, происходящие в колебательном контуре.

4. Какие превращения энергии происходят в колебательном контуре?

5. Установите аналогию между механическими и электромагнитными колебаниями.

    Упражнение 17

1. Зависимость заряда на пластинах конденсатора колебательного контура от времени выражена уравнением q = 10-7cos 1047πt (Кл). Запишите уравнение зависимости силы тока в катушке от времени. Чему равны амплитуды колебаний заряда и силы тока в контуре, период, фаза, частота и циклическая частота колебаний? Чему равна индуктивность катушки колебательного контура, если ёмкость конденсатора 0,4 мкФ?

2. Колебательный контур состоит из конденсатора ёмкостью 0. 2 мкФ и катушки индуктивностью 8 мГн. Чему равна амплитуда колебаний напряжения, если амплитуда колебаний силы тока 0,1 А?

3. Определите диапазон изменения периода колебаний в колебательном контуре, если при индуктивности катушки 5 мкГн ёмкость конденсатора можно менять в пределах от 0,05 до 5 мкФ.

4*. Получите формулу периода электромагнитных колебаний, используя закон сохранения энергии.

    Ответы

1. i = -3,14 • 10-3sin 104πt (А); 10-7 Кл; 3,14 х 10 3 А; 2 • 10-4 с; 104πt рад; 500 Гц; 104π рад/с.

2. 20 В.

3. 3,14 х 10-6—3,14 • 10-5 с.

<<< К началу

 

 

???????@Mail.ru