Главная >> Физика. 11 класс. Пурышева

Глава 3. Электромагнитные колебания и волны

§ 21. Переменный электрический ток (окончание)

Трансформатор

5. Производимую на электростанциях электроэнергию передают по проводам — линиям электропередачи (ЛЭП) — на значительные расстояния. При этом, естественно, неизбежны энергетические потери: электрический ток нагревает провода. Согласно закону Джоуля—Ленца количество теплоты, выделяемое проводником, Q = I2Rt.

Уменьшая силу тока, можно значительно снизить энергетические потери в линии электропередачи. Для этой цели используют трансформаторэлектротехническое устройство, позволяющее в несколько раз увеличивать или уменьшать переменное напряжение практически без потери мощности.

Трансформатор представляет собой две (в некоторых случаях — больше) индуктивно связанные обмотки (рис. 80). Одна из этих обмоток — первичная — подключена к источнику переменного напряжения. Ко вторичной обмотке подключают потребителей. Обмотки трансформатора надеты на общий замкнутый наборный сердечник, изготовленный из специальной трансформаторной стали.

    Трансформатор

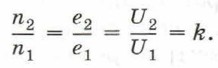
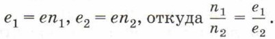
В основе действия трансформатора лежит явление электромагнитной индукции. Когда переменный ток проходит через первичную обмотку, в сердечнике трансформатора появляется изменяющийся магнитный поток. Этот поток возбуждает индукционный ток в обеих обмотках. Особенности трансформаторного сердечника таковы, что почти весь магнитный поток собирается внутри него. Значение магнитного потока одинаково во всех сечениях сердечника, мгновенное значение ЭДС индукции е в любой момент времени одинаково в каждом из витков обеих обмоток. Если n1 — число витков в первичной обмотке, а n2 — во вторичной, то их отношение равно отношению ЭДС индукции, возникающей в соответствующих обмотках:

Сопротивление обмоток трансформатора делают малым. В этом случае значение ЭДС будет примерно равно напряжению:

    Сопротивление обмоток трансформатора

Поскольку мгновенные значения ЭДС в обеих обмотках изменяются в одинаковой фазе, то их отношение с достаточной степенью точности можно заменить отношением напряжений на концах вторичной и первичной обмоток:

    мгновенные значения ЭДС

Отношение напряжений на вторичной и первичной обмотках называют коэффициентом трансформации k. Если k < 1, то трансформатор понижающий, если k > 1 — повышающий.

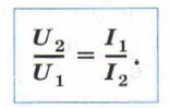
Мощность в цепи первичной обмотки Р1 = U1I1 приблизительно равна мощности в цепи вторичной обмотки Р2 = U2I2 (при условии, что в цепь вторичной обмотки включена нагрузка, близкая к номинальной для данного трансформатора): Р1 = Р2 или U1I1 = = U212. Поэтому во сколько раз трансформатор повышает напряжение, во столько же раз он уменьшает силу тока:

    коэффициент трансформации

В случае же если трансформатор понижающий, то при уменьшении напряжения во столько же раз увеличивается сила тока.

Таким образом, подавая напряжение с электростанции на ЛЭП, повышают напряжение, уменьшая силу тока. Затем, когда ток приходит к потребителям, с помощью понижающего трансформатора понижают напряжение, увеличивая при этом силу тока.

Современные технологии позволяют производить трансформаторы, коэффициент полезного действия которых достигает 97—98% и выше.

    Вопросы для самопроверки

1. Какие колебания называют вынужденными? Какова частота вынужденных колебаний?

2. При каком условии возникает резонанс? Как вы считаете, резонанс — вредное явление или полезное?

3. Как получают переменную ЭДС?

4. Каковы устройство и принцип действия генератора?

5. Что такое трансформатор? Каковы его устройство и принцип действия?

    Упражнение 18

1. Рамка, имеющая 100 витков, вращается с частотой 15 Гц в однородном магнитном поле индукцией 0,2 Тл. Чему равна площадь рамки, если амплитудное значение возникающей в ней ЭДС 45 В?

2. Рамка площадью 150 м2 вращается с частотой 10 Гц в магнитном поле индукцией 0,2 Тл. В начальный момент времени нормаль к плоскости рамки была перпендикулярна вектору магнитной индукции поля. Чему равны модуль магнитного потока через рамку и модуль ЭДС, возникающей в рамке? Запишите формулы зависимости от времени магнитного потока и ЭДС.

3. Трансформатор, содержащий в первичной обмотке 3600 витков, понижает напряжение с 240 до 12 В. Чему равен коэффициент трансформации? Сколько витков содержит вторичная обмотка?

4Д. Подготовьте сообщение о современных генераторах электрической энергии, используя интернет-ресурсы и другие источники информации.

    Ответы

1. 240 см2.

2. 0,003 Вб; 0,2 В; Ф = 0,003 х sin 20πt (Вб); е = 0,2cos 20πt (В).

3. 0,05; 180.

<<< К началу

 

 

???????@Mail.ru