Главная >> Физика. 11 класс. Пурышева

Глава 3. Электромагнитные колебания и волны

Развитие средств связи

Телевидение

3. Радиоволны позволяют передавать наряду со звуковым сигналом изображения предметов. В основе телевизионной передачи изображений лежат три процесса: преобразование оптического изображения в электрические сигналы; передача электрических сигналов; преобразование принятого электрического сигнала в оптическое изображение.

Передаваемое изображение условно разбивается на ряд мелких участков — элементов изображения. Свет от каждого участка преобразуется с помощью специальных передающих устройств в импульс электрического напряжения, амплитуда которого тем больше, чем больше интенсивность света, испускаемого данным участком.

Возможны разные конструкции телевизионного передатчика — устройства, передающего изображение. Одним из них является передающая трубка видикон (рис. 91). Видикон представляет собой электронно-лучевую трубку, в которой вместо светящегося экрана установлен светочувствительный полупроводниковый экран 1. Рассмотрим, как происходит преобразование полученного на экране изображения предмета в электрический сигнал.

    Видикон

Электронный пучок, созданный электронной пушкой 2, ускоряется и направляется на экран. Электроны, выбитые с поверхности экрана, движутся к коллектору 3, имеющему более высокий потенциал, чем экран. При освещении экрана сопротивление полупроводника уменьшается, и сила тока на участке экран — коллектор возрастает. При этом чем больше освещённость того места экрана, на который падает электронный пучок, тем меньше его сопротивление и больше сила тока.

Таким образом, освещённость и соответственно сопротивление разных участков экрана, на котором получено изображение предмета, различны. Управление перемещением электронного пучка осуществляется с помощью магнитного поля, создаваемого двумя парами катушек, надетых на трубку. Под действием магнитного поля катушек 4 электронный пучок пробегает вдоль строки слева направо по горизонтали, а под действием магнитного поля катушек 5 — сверху вниз по вертикали. На выходе видикона возникает последовательность электрических импульсов, соответствующих передаваемому изображению. Таким образом, за 0,04 с электронный пучок пробегает 625 строк.

Как и в случае радиопередачи, этот сигнал непосредственно не может быть передан: он модулирует высокочастотные колебания, которые и излучаются в пространство. Принятые приёмником модулированные колебания усиливаются и детектируются. Приёмник выделяет видеосигнал и передаёт его на устройство, преобразующее электрические импульсы в видимое изображение. Таким устройством является приёмная электронно-лучевая трубка — кинескоп (рис. 92).

    Кинескоп

В кинескопе, так же как и в видиконе, электронная пушка 1 создаёт электронный пучок, который попадает на экран 2, покрытый веществом (люминофором), способным светиться при ударе о него электронов. Снаружи трубки расположены две пары катушек, которые создают магнитное поле при прохождении по ним электрического тока. Одна пара катушек отклоняет электронный пучок слева направо, а другая — сверху вниз, причём движение пучка в кинескопе совершается синхронно с движением пучка в видиконе: во время движения пучка в кинескопе вдоль первой строки им управляет сигнал, принятый при движении электронного пучка вдоль первой строки в видиконе. За 0,04 с на экране кинескопа будет такое же изображение, которое было на экране видикона. Передача изображения происходит последовательной передачей отдельных кадров.

Кадры сменяют друг друга с частотой 25 кадров в секунду, и в силу инертности зрения глаз воспринимает эту смену как непрерывную.

Для передачи телевизионного сигнала на большие расстояния используют, во-первых, высокие антенны, а во-вторых, ретрансляторы, установленные на искусственных спутниках Земли.

Радиолокация и радиоастрономия

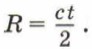
4. Радиолокация — обнаружение и определение координат объектов (кораблей, самолётов, искусственных спутников Земли и др.) с помощью отражения радиоволн. Принцип радиолокации заключается в приёме отражённого от объекта радиосигнала. Наибольшее распространение получили радиолокаторы, излучающие импульсные сигналы в течение промежутков времени порядка микросекунд с интервалами порядка миллисекунд. В этом случае достаточно точно измеряется время t распространения сигнала до объекта и от него к приёмнику и соответственно расстояние R до объекта:

Радиоастрономия позволяет расширить наши знания о Вселенной путём изучения радиоволн от отдалённых внеземных источников. Построены большие радиотелескопы, принимающие и излучающие радиоволны в большом диапазоне длин волн — от миллиметров до сотен метров. С их помощью принимают слабые радиосигналы, которые приходят на Землю от далёких космических объектов. Один из современных радиотелескопов изображён на рисунке 93. Мощные источники радиоизлучений — квазары и пульсары — были открыты с помощью радиотелескопа. Зарегистрировано радиоизлучение от Солнца, планет, например Венеры и Юпитера, а также Луны.

    Радиотелескоп

В радиоастрономии с помощью радиолокации с высокой точностью определили, например, расстояние от Земли до Солнца, Луны и планет.

<<< К началу      Окончание >>>

 

 

???????@Mail.ru