Главная >> Физика. 11 класс. Пурышева

Глава 4. Оптика

§ 26. Понятия и законы геометрической оптики (окончание)

Среду, имеющую меньший абсолютный показатель преломления, называют средой оптически менее плотной.

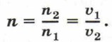
Возникает вопрос: чем объясняется то, что углы падения и преломления не равны, и почему разные среды имеют разные показатели преломления? Ответ заключается в том, что в разных средах свет распространяется с разной скоростью. Чем больше скорость распространения света в среде, тем меньше показатель преломления, тем больше угол преломления. Таким образом, абсолютные показатели преломления сред обратно пропорциональны скорости света в данных средах:

Ещё одно важное свойство световых лучей — обратимость. Если направить падающий луч по направлению преломлённого луча ОС (см. рис. 95), то преломлённый луч совпадёт с направлением падающего луча АО. То же относится и к лучам падающему и отражённому.

Полное внутреннее отражение

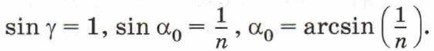
5. Предположим, свет падает из среды оптически более плотной в среду оптически менее плотную, например из стекла в воздух (рис. 98). Будем увеличивать угол падения, угол преломления тоже будет возрастать. При некотором угле падения преломлённый луч будет скользить по границе раздела двух сред, а угол преломления будет равен 90°.

    Рис. 98

Запишем для этого случая закон преломления света:

    закон преломления света

Поскольку γ = 90°, то

Угол α0 называют предельным углом полного внутреннего отражения. Это такой минимальный угол падения света, начиная с которого возникает явление полного внутреннего отражения.

Явление, при котором отсутствует преломление света и падающий свет полностью отражается, называют полным внутренним отражением.

Зная абсолютный показатель преломления среды, можно вычислить для неё предельный угол полного внутреннего отражения.

    Вопросы для самопроверки

1. Назовите модели, используемые в геометрической оптике.

2. В чём заключается принцип Гюйгенса?

3. Сформулируйте закон отражения света и выведите его с помощью принципа Гюйгенса.

4. Сформулируйте закон преломления света.

5. Каков физический смысл относительного показателя преломления? Как он связан со скоростью света в средах?

6. Можно ли наблюдать полное внутреннее отражение при переходе света из среды оптически менее плотной в среду оптически более плотную? Ответ обоснуйте.

    Упражнение 20

1. Изобразите схематически солнечное и лунное затмения. Обозначьте области тени и полутени.

2*. Выведите закон преломления света, используя принцип Гюйгенса.

3. Вычислите предельный угол полного внутреннего отражения для стекла, если n = 1,4.

4. Луч света падает из воздуха на поверхность подсолнечного масла. Угол падения луча 50°, угол преломления 31°. Каков показатель преломления масла?

5. Под каким углом должен падать луч света из воздуха на стекло, чтобы угол преломления был в 2 раза меньше угла падения?

    Ответы

3. 46°.

4. 1,5.

5. 74°.

<<< К началу

 

 

???????@Mail.ru