Главная >> Физика. 11 класс. Пурышева

Глава 5. Основы специальной теории относительности

§ 37. Взаимосвязь массы и энергии

Полная энергия свободно движущегося тела

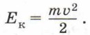
1. В классической физике кинетическая энергия движущегося тела рассчитывается по формуле

    кинетическая энергия движущегося тела

Энергия же покоящегося тела считается равной нулю.

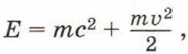
Энергия тела в релятивистской механике записывается следующим образом:

    Энергия тела в релятивистской механике

Знаменатель в выражении для энергии при υ << с можно представить следующим образом:

Тогда

где Е — полная энергия тела, Е0 = mс2 — собственная энергия частицы или её энергия покоя, mυ2/2 — кинетическая энергия.

Соотношение Е0 = mс2 называют формулой Эйнштейна.

Это соотношение считается одним из основных выводов теории относительности и имеет огромное практическое значение.

Оно показывает, что никакими средствами нельзя увеличить энергию тела, не увеличивая одновременно его массу. И наоборот, всякое увеличение массы тела обязательно сопровождается увеличением его энергии. Всякий процесс с выделением энергии связан с потерей массы, и наоборот, приобретая энергию, тело или система тел одновременно приобретает массу. Иными словами, изменение энергии покоя тела прямо пропорционально изменению его массы: ΔЕ = Δmc2.

Если предположить, что энергия тела меняется на ΔE, то масса изменяется на величину Δm:

Но нельзя трактовать эту формулу как переход массы в энергию, так как энергия и масса — две физические величины, которые характеризуют разные свойства тела. Из формулы Эйнштейна следует, что эти два разных свойства всегда сопутствуют друг другу и количественно пропорциональны.

Любое выделение или поглощение энергии связано с изменением массы. Например, масса двух атомов водорода больше массы двухатомной молекулы водорода. При соединении атомов в молекулы выделяется энергия, которая прямо пропорциональна изменению массы.

При любой химической реакции, идущей с выделением энергии (экзотермической), масса продуктов реакции меньше, чем масса вступающих в реакцию веществ. Масса же продуктов эндотермической реакции — реакции, идущей с поглощением энергии, больше, чем масса реагирующих веществ.

Окончание >>>

 

 

???????@Mail.ru