Главная >> Физика. 11 класс. Пурышева

Глава 6. Фотоэффект

§ 39. Фотон. Уравнение фотоэффекта

Световые кванты

1. Для объяснения фотоэффекта и законов нужны были новые физические идеи. Первый шаг в квантовой теории сделал в 1900 г. Планк. Он высказал гипотезу о том, что электромагнитное излучение испускается порциями — квантами. Однако, будучи физиком классической школы и считая, что электромагнитное излучение носит волновой характер, Планк рассматривал идею кванта лишь как вспомогательное, чисто математическое понятие, необходимое для объяснения ещё одного явления, не поддающегося описанию в рамках классической физики. В соответствии с гипотезой Планка порция энергии электромагнитного излучения может быть определена по формуле

    Е = hν,

где Е — энергия кванта, ν — частота излучения, h — постоянная величина, получившая название постоянной Планка. Её числовое значение очень мало:

    h = 6,62 • 10-34 Дж • с,

поэтому даже для электромагнитных волн большой частоты энергия кванта очень мала. Так, для волн видимого света энергия кванта составляет 10-20 Дж.

Гипотезу Планка о квантовом характере излучения развил в 1905 г. Эйнштейн. В полученных экспериментальным путём законах фотоэффекта он увидел доказательство того, что свет имеет прерывистую структуру, испускается, поглощается и распространяется отдельными квантами.

Фотон

2. Гипотезы Планка и Эйнштейна кардинально меняли все представления о природе электромагнитного излучения. В соответствии с их идеями электромагнитное излучение существует в виде потока отдельных частиц, которые получили впоследствии название фотонов или квантов электромагнитного излучения. Эйнштейн показал, что фотон — реально существующая частица. Энергия фотона пропорциональна частоте электромагнитного излучения:

    Е = hν,

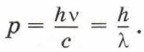
импульс фотона равен

    импульс фотона равен


    Макс Карл Эрнст Людвиг Планк

Макс Карл Эрнст Людвиг Планк (1858— 1947) — немецкий физик-теоретик, основоположник квантовой теории, почётный член Академии наук СССР, член Лондонского королевского общества. Известен своими работами в области термодинамики, теории теплового излучения, теории относительности, квантовой теории, истории и методологии физики. Эмпирически установил формулу распределения энергии в спектре электромагнитного излучения абсолютно чёрного тела (закон излучения Планка), а затем дал вывод этой формулы; ввёл фундаментальную постоянную (постоянная Планка), термин «теория относительности»; вывел уравнения релятивистской динамики, получив выражения для энергии и импульса электрона.


Продолжение >>>

 

 

???????@Mail.ru