Главная >> Физика. 11 класс. Пурышева

Глава 7. Строение атома

Противоречия планетарной модели атома. Постулаты Бора

Сформулированные Бором постулаты позволили построить теорию атома водорода — простейшей атомной системы. Были рассчитаны частоты электромагнитных волн, излучаемых водородом, которые с удивительной точностью совпали с установленной ранее экспериментальной формулой для определения частот видимой части спектра водорода (об этом пойдёт речь в следующем параграфе).

Таким образом, Бору удалось теоретически подтвердить состоятельность идеи планетарного строения атома и дополнить её, объяснив механизм поглощения и излучения атомов. Объединённую модель называют моделью Резерфорда—Бора. Однако, согласно современной квантовой теории, орбиты, по которым вращаются электроны вокруг ядра, не следует представлять буквально. В действительности электрон в атоме на определённой орбите может быть обнаружен лишь с наибольшей вероятностью. И всегда существует некоторая вероятность обнаружить его в любом другом месте, а не только вблизи орбиты.

Опыты Франка и Герца

3. Доказательство справедливости постулатов Бора было получено экспериментально немецкими физиками Джеймсом, Франком (1882—1964) и Густавом Людвигом Герцем (1887—1975) в 1913 г.

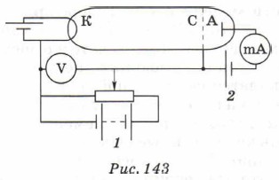
Установка для проведения опытов состояла из стеклянной трубки, заполненной парами ртути (рис. 143).

    Опыты Франка и Герца

При нагревании катода К электрическим током из него вылетают электроны, которые ускоряются электрическим полем между катодом и сеткой С, созданным батареей 1. Кинетическая энергия электронов при достижении сетки равна

    Кинетическая энергия электронов

где е — заряд электрона, U — разность потенциалов между сеткой и катодом.

Электрическое поле между сеткой и анодом А, созданное батареей 2, тормозит электроны, поскольку потенциал сетки выше потенциала анода на 0,5 В. Соответственно до анода долетают только быстрые электроны.

В опыте исследовалась зависимость силы тока в цепи анода от напряжения между катодом и сеткой. При увеличении напряжения между сеткой и катодом сила тока в анодной цепи растёт (рис. 144), поскольку электроны, вылетевшие из катода, быстрее достигают анода. Сила тока растёт до тех пор, пока напряжение между сеткой и катодом не станет равным 4,9 В. При этом напряжении сила тока в анодной цепи резко уменьшается. Очевидно, электроны теряют свою энергию, соударяясь с атомами ртути, и электрическое поле между сеткой и анодом не допускает медленные электроны до анода.

    Рис. 144

При дальнейшем увеличении напряжения между сеткой и катодом сила тока опять начинает расти. При напряжении 9,8 В вновь наблюдается резкое уменьшение анодного тока.

Таким образом, результаты опытов Франка и Герца дают экспериментальное подтверждение тому, что внутренняя энергия атома может меняться лишь дискретно, т. е. определёнными порциями. Выводы, полученные из этого эксперимента, были подтверждены результатами и других опытов.

<<< К началу      Окончание >>>

 

 

???????@Mail.ru