Главная >> Физика. 11 класс. Пурышева

Глава 8. Атомное ядро

Закон радиоактивного распада

Период полураспада

2. В любом образце радиоактивного вещества находится огромное число ядер. В процессе радиоактивного распада число ядер со временем уменьшается, однако предсказать, когда именно — через секунду, месяц или тысячу лет — распадётся то или иное ядро, невозможно. Распад каждого ядра является совершенно случайным событием; данный процесс носит, как говорят, вероятностный, статистический характер. Бессмысленно поэтому говорить о времени жизни одного какого-либо атома. Когда используется этот термин, то имеют в виду некоторое среднее значение, измеренное для очень большого числа атомов данного вещества.

Физической величиной, характеризующей интенсивность радиоактивного распада, принято считать интервал времени, равный периоду полураспада.

Период полураспада Т — это время, в течение которого распадается половина первоначального числа радиоактивных ядер.

Для каждого радиоактивного вещества период полураспада является строго постоянной величиной. Например, у изотопа свинца период полураспада составляет 1,43 • 1017 лет, а у изотопа радиоактивного газа радона он равен всего лишь 10-6 с.

Опыты с радиоактивными веществами показали, что никакие внешние условия, такие как изменение агрегатного состояния, нагревание до высоких температур или охлаждение до сверхнизких температур, большие давления и пр., не влияют на характер и скорость радиоактивного распада.

Закон радиоактивного распада

3. Радиоактивный распад — это пример процесса, который не может быть описан с помощью классического принципа причинности, в соответствии с которым при рассмотрении любого физического явления могут быть выявлены его причины и установлены следствия. Например, при решении основной задачи механики причинно-следственные связи позволяют определить положение тела в пространстве (как следствие его движения) по известным начальным условиям его движения и причинам, которые в классической механике связаны с действующими на тело силами. Предсказать же поведение отдельного радиоактивного атома невозможно; процесс радиоактивного распада атома может произойти в любой момент времени, и вызвавшие его причины носят случайный характер.

Однако, используя факт постоянства периода полураспада радиоактивных ядер, можно установить закон, по которому убывает общее число радиоактивных ядер.

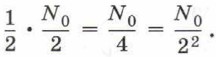
Будем считать, что число радиоактивных ядер какого-либо элемента в начальный момент времени t0 = 0 равно N0. Через промежуток времени, равный периоду полураспада (t1 = Т), число этих ядер станет в 2 раза меньше, т. е. будет равно N0/2. Спустя ещё такое же время (t2 = 2Т) число нераспавшихся радиоактивных ядер составит половину от оставшихся, т. е.

    число нераспавшихся радиоактивных ядер составит половину от оставшихся

Продолжая подобные рассуждения, можно утверждать, что через n периодов полураспада, т. е. по истечении времени t = nТ, радиоактивных ядер останется:

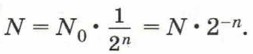
Учитывая, что n = t/T, можно записать

    N = N0 • 2-t/T.

Полученное выражение представляет собой закон радиоактивного распада.

В соответствии с этой формулой число радиоактивных ядер любого радиоактивного вещества убывает с течением времени по закону, график которого приведён на рисунке 152. Данный закон, как и любой закон физики, имеет свои границы применимости: он справедлив лишь при достаточно большом числе радиоактивных ядер.

    Рис. 152

<<< К началу      Окончание >>>

 

 

???????@Mail.ru