Главная >> Физика. 11 класс. Пурышева

Глава 9. Элементы астрофизики

Млечный Путь — наша Галактика

Если бы пыль и газ не загораживали от нас центр Галактики, то ночью на небе мы видели бы довольно яркий гигантский светящийся серебристым светом размытый круг, размером почти в 100 раз превышающий Луну.

Мы находимся внутри Галактики, поэтому нам трудно представить её внешний вид, но во Вселенной есть много других похожих галактик, по ним мы можем судить о нашем Млечном Пути. На рисунке 171, а представлена спиральная галактика Водоворот, а на рисунке 171, б — галактика Сомбреро, видимая с ребра. Тёмная полоса у галактики Сомбреро обусловлена тем, что газ и пыль, которые концентрируются к плоскости галактики, поглощают свет звёзд, как и в нашем Млечном Пути.

    галактика Сомбреро

Число звёзд и масса Галактики

3. Скорость обращения звёзд вокруг центрального сгущения по мере удаления от него сначала возрастает, достигает в окрестностях Солнца наибольшего значения примерно 220 км/с, а к периферии Галактики медленно убывает. По этой скорости и расстоянию Солнца от центра Галактики (r = 8000 пк) нетрудно вычислить период обращения Солнца, близкий к 200 млн лет и называемый галактическим годом.

В Галактике насчитывается около 100 млрд звёзд, её границы прослеживаются до расстояний 65 000 св. лет.

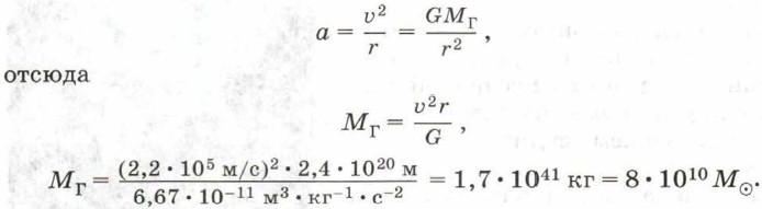
Можно рассчитать массу Галактики МГ, сосредоточенную внутри орбиты Солнца. Центростремительное ускорение, которое испытывает Солнце под действием притяжения Галактики:

рассчитать массу Галактики

<<< К началу      Окончание >>>

 

 

???????@Mail.ru