Главная >> Физика. 11 класс. Пурышева

Глава 9. Элементы астрофизики

Вселенная

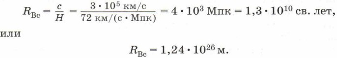
Расстояние, до которого в принципе мы можем видеть Вселенную, называют радиусом Вселенной. Его легко оценить с помощью закона Хаббла. Так как максимальная скорость не может превышать скорости света, то максимальное расстояние, до которого мы можем наблюдать небесные тела, соответствует скорости разбегания галактик υ = с = 3 • 105 км/с, откуда

радиус Вселенной

Некоторые видят в наблюдаемом разбегании галактик аналогию с разлётом вещества во время взрыва, поэтому описанная теория расширения Вселенной получила название теории Большого взрыва, а время tBc = 1 /Н =13 млрд лет, прошедшее с начала этого взрыва, называют возрастом Вселенной.

Модель «горячей Вселенной»

2. В 1965 г. с помощью радиотелескопа было обнаружено излучение, не связанное ни с одним известным источником радиоизлучения, идущее со всех сторон. Это микроволновое излучение имеет максимум на длине волны λmах = 1мм и соответствует излучению вещества, нагретого до температуры T = 2,7 К. В прошлом, на ранних этапах эволюции Вселенной, плотность и температура этого излучения были существенно выше. Таким образом, в прошлом не только плотность, но и температура вещества и связанного с ним излучения были очень высокими. Так, например, когда возраст Вселенной был всего несколько секунд, температура вещества была десятки и сотни миллионов кельвинов. Конечно, ни о каких галактиках и звёздах в этот период говорить не приходится. Они образовались значительно позднее, когда температура и плотность вещества стали ниже. Так как наблюдаемое микроволновое излучение с температурой 2,7 К связано с горячим веществом на ранних этапах эволюции Вселенной, то излучение получило название реликтового (оставшегося от прошлых эпох), а модель расширяющейся Вселенной называют моделью «горячей Вселенной».

    Вопросы для самопроверки

1. Какие измерения указывают на то, что Вселенная расширяется?

2. Какие наблюдения указывают на то, что в прошлом Вселенная имела не только высокую плотность, но и температуру?

3. Что называется радиусом Вселенной и чему он равен?

4. Что такое возраст Вселенной и чему он равен?

    Упражнение 43

1. Сейчас наблюдают галактики, которые находятся на расстоянии 3800 Мпк. Сколько лет назад эта галактика излучила свет, наблюдаемый нами? Каков был возраст Вселенной в тот момент?

2. Скорость удаления квазара 3C273 равна 45 000 км/с. На каком расстоянии находится этот квазар?

    Ответы

1. 12,7 • 109 лет; 3 • 108 лет.

2. 600 Мпк.

<<< К началу

 

 

???????@Mail.ru