Главная >> Физика. 11 класс. Пурышева

Глава 9. Элементы астрофизики

Космология (окончание)

Впервые космологическую модель Вселенной в рамках общей теории относительности — релятивистскую космологию рассмотрел российский учёный Александр Александрович Фридман (1888—1925). Он показал, что однородно заполненная веществом Вселенная должна быть нестационарной, и тем самым объяснил наблюдаемую картину разбегания галактик. Из модели однородной Вселенной следует, что при её расширении скорость разбегания галактик должна быть пропорциональна расстоянию до них. Это было подтверждено Хабблом открытием красного смещения в спектрах галактик. Нестационарность Вселенной, ограниченность её размеров и эффект Доплера успешно разрешили парадокс Ольберса.

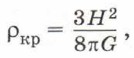
Критическая плотность вещества, от которой зависит характер расширения,

    Критическая плотность вещества

где G — гравитационная постоянная, Н — постоянная Хаббла.

Учитывая, что 1 пк = 3,08 • 1013 км, 1 Мпк = 3,08 • 1019 км, найдём Н = 2,2 • 10-18 с-1. Тогда критическая плотность вещества

    ρкр ≈ 10-26 кг/м3.

Если средняя плотность вещества во Вселенной больше критической (ρ > ρкр), то в будущем расширение Вселенной сменится сжатием, а при ρ < ρкр расширение не прекратится.

Рассчитаем плотность вещества в доступной нашему изучению части Вселенной.

В объёме радиусом, равным радиусу Вселенной, наблюдается около 100 млрд галактик (N = 1011), похожих и непохожих на наш Млечный Путь. Каждая из них состоит примерно из n = 1011 звёзд. Принимая массы звёзд в среднем близкими к массе Солнца (так как наряду со звёздами-гигантами существует много звёзд-карликов), находим, что в объёме содержится масса откуда средняя плотность вещества

средняя плотность
вещества

Следовательно, наблюдаемая средняя плотность Вселенной примерно в 4 раза меньше критической плотности. Но делать выводы о бесконечном расширении Вселенной пока преждевременно, так как многочисленные астрономические наблюдения указывают на существование в галактиках тёмного вещества, которое пока ещё не обнаружено. Физическая природа скрытой массы пока ещё не выяснена, но от величины этой массы зависит дальнейшая судьба Вселенной.

    Вопросы для самопроверки

1. Почему закон всемирного тяготения Ньютона неприменим для описания строения и эволюции Вселенной?

2. В чём заключается смысл парадокса Ольберса?

3. В чём принципиальное отличие теории строения и эволюции Вселенной от теории строения и эволюции звёзд и других небесных тел?

<<< К началу

 

 

???????@Mail.ru