Главная >> Физика. 11 класс. Пурышева

Глава 1. Постоянный электрический ток

§ 8. Применение вакуумных приборов

Вакуумный диод

1. В § 4 рассматривалось создание электрического тока в вакууме. До недавнего времени вакуумные приборы (их часто называют вакуумными лампами) широко использовались в радиотехнических устройствах. Наиболее простым вакуумным прибором является вакуумный диод. Рассмотрим его устройство. Баллон, из которого откачан воздух, со впаянными в него двумя электродами, называют вакуумным диодом. Внешний вид вакуумного диода приведён на рисунке 32, а, а условное обозначение на схемах — на рисунке 32, б. Катодом К служит тонкая вольфрамовая нить, а анодом А — металлический полуцилиндр.

    Вакуумный диод

Вакуумный диод обладает односторонней проводимостью, т. е. проводит электрический ток только в одном направлении. В этом случае анод присоединён к положительному полюсу источника тока, а катод — к отрицательному (см. рис. 16). Созданное внешнее электрическое поле ускоряет электроны, вылетевшие из катода, и они долетают до анода. Таким образом, электрическая цепь становится замкнутой.

Если теперь анод соединить с отрицательным полюсом источника тока, а катод — с положительным, то под действием внешнего поля электроны будут возвращаться на катод и тока в цепи не будет.

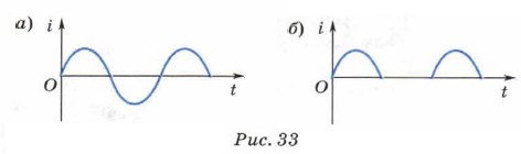
Односторонняя проводимость вакуумного диода может быть использована для выпрямления переменного тока. Как вам известно, сила переменного тока периодически меняется. На рисунке 33, а представлен график зависимости силы переменного тока от времени. Если источник переменного тока соединить с вакуумным диодом, то в течение одной половины периода, когда анод диода будет соединён с положительным полюсом источника, а катод — с отрицательным, ток будет проходить через него, а в течение другой половины периода, когда полюсы источника поменяют полярность, — не будет, т. е. диод будет заперт (рис. 33, б). Таким образом, ток будет протекать только в одном направлении.

    Рис. 33

Помимо вакуумного диода, существуют вакуумные триоды, пентоды и т. п. Эти названия даны лампам в зависимости от числа электродов в них. В последние годы вакуумные приборы заменили полупроводниковыми, которые более компактны и надёжны.

Окончание >>>

 

 

???????@Mail.ru