Главная >> Физика 11 класс. Мякишев

Глава 13. Физика атомного ядра

§ 100. Радиоактивные превращения

Что же происходит с веществом при радиоактивном излучении? Ответить на этот вопрос в начале XX в. было очень не просто. Уже в самом начале исследований радиоактивности обнаружилось много странного и необычного.

Во-первых, удивительным было постоянство, с которым радиоактивные элементы уран, торий и радий испускают излучения. На протяжении суток, месяцев и даже лет интенсивность излучения заметно не изменялась. На нее не оказывали никакого влияния такие обычные воздействия, как нагревание и увеличение давления. Химические реакции, в которые вступали радиоактивные вещества, также не влияли на интенсивность излучения.

Во-вторых, очень скоро после открытия радиоактивности выяснилось, что радиоактивность сопровождается выделением энергии. Пьер Кюри поместил ампулу с хлоридом радия в калориметр. В нем поглощались α-, β- и γ-лучи, и за счет их энергии калориметр нагревался. Кюри определил, что радий массой 1 г выделяет за 1 ч энергию, примерно равную 582 Дж. И такая энергия выделяется непрерывно на протяжении многих лет!

Откуда же берется энергия, на выделение которой не оказывают никакого влияния все известные воздействия? По-видимому, при радиоактивности вещество испытывает какие-то глубокие изменения, совершенно отличные от обычных химических превращений. Было сделано предположение, что превращения претерпевают сами атомы. Сейчас эта мысль не может вызвать особого удивления, так как о ней ребенок может услышать еще раньше, чем научится читать. Но в начале XX в. она казалась фантастической, и нужна была большая смелость, чтобы решиться высказать ее. В то время только что были получены бесспорные доказательства существования атомов. Идея Демокрита об атомистическом строении вещества наконец восторжествовала. И вот почти сразу же вслед за этим неизменность атомов ставится под сомнение.

Не будем рассказывать подробно о тех экспериментах, которые привели в конце концов к полной уверенности в том, что при радиоактивном распаде происходит цепочка последовательных превращений атомов. Остановимся только на самых первых опытах, начатых Резерфордом и продолженных им совместно с английским химиком Ф. Содди.

Резерфорд обнаружил, что активность тория, определяемая как число а-частиц, испускаемых в единицу времени, остается неизменной в закрытой ампуле. Если же препарат обдувается даже очень слабыми потоками воздуха, то активность тория сильно уменьшается. Ученый предположил, что одновременно с α-частицами торий испускает какой-то радиоактивный газ.

Отсасывая воздух из ампулы, содержащей торий, Резерфорд выделил радиоактивный газ и исследовал его ионизирующую способность. Оказалось, что активность этого газа (в отличие от активности тория, урана и радия) очень быстро убывает со временем. Каждую минуту активность убывает вдвое, и через десять минут она становится практически равной нулю. Содди исследовал химические свойства этого газа и установил, что он не вступает ни в какие реакции, т. е. является инертным газом. Впоследствии этот газ был назван радоном и помещен в периодической системе Д. И. Менделеева под порядковым номером 86.

Превращения испытывали и другие радиоактивные элементы: уран, актиний, радий. Общий вывод, который сделали ученые, был точно сформулирован Резерфордом: «Атомы радиоактивного вещества подвержены спонтанным1 видоизменениям. В каждый момент небольшая часть общего числа атомов становится неустойчивой и взрывообразно распадается. В подавляющем большинстве случаев выбрасывается с огромной скоростью осколок атома — α-частица. В некоторых других случаях взрыв сопровождается выбрасыванием быстрого электрона и появлением лучей, обладающих, подобно рентгеновским лучам, большой проникающей способностью и называемых γ-излучением.

    1 От латинского слова spontaneus — самопроизвольный.

Было обнаружено, что в результате атомного превращения образуется вещество совершенно нового вида, полностью отличное по своим физическим и химическим свойствам от первоначального вещества. Это новое вещество, однако, само также неустойчиво и испытывает превращение с испусканием характерного радиоактивного излучения2.

    2 В действительности могут образовываться и стабильные ядра.

Таким образом, точно установлено, что атомы некоторых элементов подвержены спонтанному распаду, сопровождающемуся излучением энергии в количествах, огромных по сравнению с энергией, освобождающейся при обычных молекулярных видоизменениях».

После того как было открыто атомное ядро, сразу же стало ясно, что именно оно претерпевает изменения при радиоактивных превращениях. Ведь α-частиц вообще нет в электронной оболочке, а уменьшение числа электронов оболочки на единицу превращает атом в ион, а не в новый химический элемент. Выброс же электрона из ядра меняет заряд ядра (увеличивает его) на единицу.

Итак, радиоактивность представляет собой самопроизвольное превращение одних ядер в другие, сопровождаемое испусканием различных частиц.

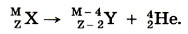
Правило смещения. Превращения ядер подчиняются так называемому правилу смещения, сформулированному впервые Содди: при α-распаде ядро теряет положительный заряд 2е и его масса М убывает примерно на четыре атомные единицы массы. В результате элемент смещается на две клетки к началу периодической системы.

Символически это можно записать так:

Правило смещения

Здесь элемент обозначается, как и в химии, общепринятыми символами: заряд ядра записывается в виде индекса слева внизу у символа, а атомная масса — в виде индекса слева вверху у символа. Например, водород обозначается символом Для α-частицы, являющейся ядром атома гелия, применяется обозначение и т. д. При β-распаде из ядра вылетает электрон. В результате заряд ядра увеличивается на единицу, а масса остается почти неизменной:

заряд ядра увеличивается на единицу, а масса остается почти неизменной

Здесь обозначает электрон: индекс 0 вверху означает, что масса его очень мала по сравнению с атомной единицей массы, — электронное антинейтрино — нейтральная частица с очень малой (возможно, нулевой) массой, уносящая при β-распаде часть энергии. Образованием антинейтрино сопровождается β-распад любого ядра и в уравнениях соответствующих реакций эту частицу часто не указывают.

После β-распада элемент смещается на одну клетку ближе к концу периодической системы. Гамма-излучение не сопровождается изменением заряда; масса же ядра меняется ничтожно мало.

Согласно правилу смещения при радиоактивном распаде сохраняется суммарный электрический заряд и приближенно сохраняется относительная атомная масса ядер. Возникшие при радиоактивном распаде новые ядра могут быть также радиоактивны и испытывать дальнейшие превращения.


При радиоактивном распаде происходит превращение атомных ядер.


Вопрос к параграфу

Какие из известных вам законов сохранения выполняются при радиоактивном распаде?

 

 

???????@Mail.ru