Главная >> Физика 11 класс. Мякишев

Лабораторные работы

5. Определение оптической силы и фокусного расстояния собирающей линзы

Оборудование

Линейка, два прямоугольных треугольника, длиннофокусная собирающая линза, лампочка на подставке с колпачком, источник тока, выключатель, соединительные провода, экран, направляющая рейка.

Подготовка к проведению работы

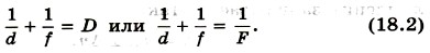
Простейший способ измерения оптической силы и фокусного расстояния линзы основан на использовании формулы линзы

Способ измерения оптической силы и фокусного расстояния линзы

В качестве предмета используется светящаяся рассеянным светом буква в колпачке осветителя. Действительное изображение этой буквы получают на экране.

Проведение эксперимента

1. Соберите электрическую цепь, подключив лампочку к источнику тока через выключатель.

2. Поставьте лампочку на край стола, а экран — у другого края. Между ними поместите линзу, включите лампочку и передвигайте линзу вдоль рейки, пока на экране не будет получено резкое изображение светящейся буквы.

Для уменьшения погрешности измерений, связанной с настройкой на резкость, целесообразно получить уменьшенное (и, следовательно, более яркое) изображение.

3. Измерьте расстояния d и ƒ, обратив внимание на необходимость тщательного отсчета расстояний.

При неизменном d повторите опыт несколько раз, каждый раз заново получая резкое изображение. Вычислите ƒср, Dср, Fср. Результаты измерений расстояний (в миллиметрах) занесите в таблицу.

Результаты измерений расстояний

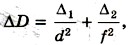
4. Абсолютную погрешность ΔD измерения оптической силы линзы можно вычислить по формуле где Δ1 и Δ2 — абсолютные погрешности в измерении d и ƒ.

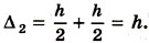
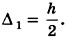
При определении Δ1 и Δ2 следует иметь в виду, что измерение расстояний d и ƒ не может быть проведено с погрешностью, меньшей половины толщины линзы h.

Так как опыты проводятся при неизменном d, то Погрешность измерения ƒ будет больше из-за неточности настройки на резкость примерно еще на Поэтому

Измерьте толщину линзы

5. Измерьте толщину линзы h (рис. 18.3) и вычислите AD по формуле

5. Измерьте толщину линзы и вычислите по формуле

6. Запишите результат в форме

Dcp - ΔD ≤ D ≤ Dcp + ΔD.

 

 

???????@Mail.ru