Главная >> Физика 11 класс. Мякишев

Глава 3. Механические колебания

§ 23. Фаза колебаний

Введем еще одну величину, характеризующую гармонические колебания, — фазу колебаний.

При заданной амплитуде колебаний координата колеблющегося тела в любой момент времени однозначно определяется аргументом косинуса или синуса: φ = ω0t.

Величину φ, стоящую под знаком функции косинуса или синуса, называют фазой колебаний, описываемой этой функцией. Выражается фаза в угловых единицах — радианах.

Фаза определяет не только значение координаты, но и значение других физических величин, например скорости и ускорения, изменяющихся также по гармоническому закону. Поэтому можно сказать, что фаза определяет при заданной амплитуде состояние колебательной системы в любой момент времени. В этом состоит значение понятия фазы.

Колебания с одинаковыми амплитудами и частотами могут различаться фазами.

Так как , то

Колебания с одинаковыми амплитудами

Отношение указывает, сколько периодов прошло от момента начала колебаний. Любому значению времени t, выраженному в числе периодов Т, соответствует значение фазы φ, выраженное в радианах. Так, по прошествии времени (четверти периода) по прошествии половины периода φ = π, по прошествии целого периода φ = 2π и т. д.

Можно изобразить на графике зависимость координаты колеблющейся точки не от времени, а от фазы. На рисунке 3.7 показана та же косинусоида, что и на рисунке 3.6, но на горизонтальной оси отложены вместо времени различные значения фазы φ.

Представление гармонических колебаний с помощью косинуса и синуса. Вы уже знаете, что при гармонических колебаниях координата тела изменяется со временем по закону косинуса или синуса. После введения понятия фазы остановимся на этом подробнее.

при гармонических колебаниях координата тела изменяется

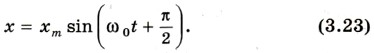
Синус отличается от косинуса сдвигом аргумента на , что соответствует, как видно из уравнения (3.21), промежутку времени, равному четверти периода:

Синус отличается от косинуса сдвигом аргумента

Поэтому вместо формулы х = хm cos ω0t можно для описания гармонических колебаний использовать формулу

Косинус отличается от синуса сдвигом аргумента

Но при этом начальная фаза, т. е. значение фазы в момент времени t = 0, равна не нулю, а .

Обычно колебания тела, прикрепленного к пружине, или колебания маятника мы возбуждаем, выводя тело маятника из положения равновесия и затем отпуская его. Смещение от положения равновесия максимально в начальной момент. Поэтому для описания колебаний удобнее пользоваться формулой (3.14) с применением косинуса, чем формулой (3.23) с применением синуса.

Но если бы мы возбудили колебания покоящегося тела кратковременным толчком, то координата тела в начальный момент была бы равна нулю, и изменения координаты со временем было бы удобнее описывать с помощью синуса, т. е. формулой

х = хm sin ω0t,                           (3.24)

так как при этом начальная фаза равна нулю.

Если в начальный момент времени (при t — 0) фаза колебаний равна φ, то уравнение колебаний можно записать в виде

х = хm sin (ω0t + φ).

Сдвиг фаз. Колебания, описываемые формулами (3.23) и (3.24), отличаются друг от друга только фазами. Разность фаз, или, как часто говорят, сдвиг фазу этих колебаний составляет . На рисунке 3.8 показаны графики зависимости координат от времени для двух гармонических колебаний, сдвинутых по фазе на . График 1 соответствует колебаниям, совершающимся по синусоидальному закону: х = хm sin ω0t, а график 2 — колебаниям, совершающимся по закону косинуса:

колебания, совершающимся по закону косинуса

Сдвиг фаз


Для определения разности фаз двух колебаний надо в обоих случаях колеблющуюся величину выразить через одну и ту же тригонометрическую функцию — косинус или синус.


Вопросы к параграфу

1. Какие колебания называют гармоническими?

2. Как связаны ускорение и координата при гармонических колебаниях?

3. Как связаны циклическая частота колебаний и период колебаний?

4. Почему частота колебаний тела, прикрепленного к пружине, зависит от его массы, а частота колебаний математического маятника от массы не зависит?

5. Каковы амплитуды и периоды трех различных гармонических колебаний, графики которых представлены на рисунках 3.8, 3.9?

 

 

???????@Mail.ru