Главная >> Физика 11 класс. Мякишев

Глава 4. Электромагнитные колебания

§ 28. Колебательный контур. Превращение энергии при электромагнитных колебаниях

Простейшая система, в которой могут происходить свободные электромагнитные колебания, состоит из конденсатора и катушки, присоединенной к его обкладкам (рис. 4.3), и называется колебательным контуром.

Простейшая система, в которой могут происходить свободные электромагнитные колебания

Зарядим конденсатор, присоединив его на некоторое время к батарее с помощью переключателя (рис. 4.4, а). При этом конденсатор получит энергию

Конденсатор получит энергию

где qm — заряд конденсатора, а С — его электроемкость. Между обкладками конденсатора возникнет разность потенциалов Um.

Переведем переключатель в положение 2 (рис. 4.4, б). Конденсатор начнет разряжаться, и в цепи появится электрический ток. Сила тока не сразу достигает максимального значения, а увеличивается постепенно. Это связано с явлением самоиндукции. ЭДС самоиндукции возникает при появлении тока в цепи и препятствует его увеличению, поэтому ток в цепи растет постепенно.

ЭДС самоиндукции

По мере разрядки конденсатора энергия электрического поля уменьшается, но одновременно возрастает энергия магнитного поля тока, которая определяется формулой

Энергия электрического поля уменьшается, но одновременно возрастает энергия магнитного поля тока

где i — сила переменного тока; L — индуктивность катушки.

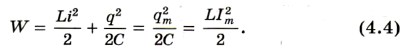
Полная энергия W электромагнитного поля контура равна сумме энергий его магнитного и электрического полей:

Полная энергия

В момент, когда конденсатор полностью разрядится (q = 0), энергия электрического поля станет равной нулю. Энергия же магнитного поля тока, согласно закону сохранения энергии, будет максимальной. В этот момент сила тока также достигнет, конечно, максимального значения Im.

Несмотря на то что к этому моменту разность потенциалов на концах катушки становится равной нулю, электрический ток не может прекратиться сразу. Этому препятствует явление самоиндукции. Как только сила тока и созданное им магнитное поле начнут уменьшаться, возникает ЭДС самоиндукции, стремящаяся поддержать ток.

В результате конденсатор будет перезаряжаться до тех пор, пока сила тока, постепенно уменьшаясь, не станет равной нулю. Энергия магнитного поля в этот момент также будет равна нулю, энергия электрического поля конденсатора опять станет максимальной.

После этого конденсатор вновь начнет перезаряжаться, и система возвратится в исходное состояние. Если бы не было потерь энергии, то этот процесс продолжался бы сколь угодно долго. Колебания были бы незатухающими. Через промежутки времени, равные периоду колебаний, состояние системы в точности повторялось бы. Полная энергия при этом сохранялась бы неизменной, и ее значение в любой момент времени было бы равно максимальной энергии электрического поля или максимальной энергии магнитного поля:

Максимальной энергии электрического поля или максимальной энергии магнитного поля

Но в действительности потери энергии неизбежны. Так, в частности, катушка и соединительные провода обладают сопротивлением R, а это ведет к постепенному превращению энергии электромагнитного поля во внутреннюю энергию проводника.


В колебательном контуре энергия электрического поля заряженного конденсатора периодически переходит в энергию магнитного поля тока. При отсутствии сопротивления в контуре полная энергия электромагнитного поля остается неизменной.


Вопросы к параграфу

1. Чему равна энергия контура в произвольный момент времени?

2. Почему при подключении конденсатора к катушке он разряжается постепенно?

 

 

???????@Mail.ru