Главная >> Физика 11 класс. Мякишев

Глава 4. Электромагнитные колебания

§ 30. Уравнение, описывающее процессы в колебательном контуре. Период свободных электрических колебаний

Перейдем теперь к количественной теории процессов в колебательном контуре.

Колебательный контур

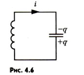
Уравнение, описывающее процессы в колебательном контуре. Рассмотрим колебательный контур, сопротивлением R которого можно пренебречь (рис. 4.6).

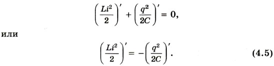
Уравнение, описывающее свободные электрические колебания в контуре, можно получить с помощью закона сохранения энергии. Полная электромагнитная энергия W контура в любой момент времени равна сумме его энергий магнитного и электрического полей:

Полная электромагнитная энергия W контура

Эта энергия не меняется с течением времени, если сопротивление R контура равно нулю. Значит, производная полной энергии по времени равна нулю. Следовательно, равна нулю сумма производных по времени от энергий магнитного и электрического полей:

Производная полной энергии по времени равна нулю

Физический смысл уравнения (4.5) состоит в том, что скорость изменения энергии магнитного поля по модулю равна скорости изменения энергии электрического поля; знак «—» указывает на то, что, когда энергия электрического поля возрастает, энергия магнитного поля убывает (и наоборот).

Вычислив производные в уравнении (4.5), получим1

Энергия магнитного поля убывает (и наоборот)

    1 Мы вычисляем производные по времени. Поэтому производная (i2)' равна не просто 2i, как было бы при вычислении производной по i. Нужно 2i умножить еще на производную i' силы тока по времени, так как вычисляется производная от сложной функции. То же самое относится к производной (д2)'.

Но производная заряда по времени представляет собой силу тока в данный момент времени:

Производная заряда по времени представляет собой силу тока в данный момент времени

Поэтому уравнение (4.6) можно переписать в следующем виде:

Производная силы тока по времени есть не что иное, как вторая производная заряда по времени, подобно тому как производная скорости по времени (ускорение) есть вторая производная координаты по времени. Подставив в уравнение (4.8) i' = q" и разделив левую и правую части этого уравнения на Li, получим основное уравнение, описывающее свободные электрические колебания в контуре:

Производная силы тока

Теперь вы в полной мере можете оценить значение тех усилий, которые были затрачены для изучения колебаний шарика на пружине и математического маятника. Ведь уравнение (4.9) ничем, кроме обозначений, не отличается от уравнения (3.11), описывающего колебания шарика на пружине. При замене в уравнении (3.11) х на q, х" на q", k на 1/С и m на L мы в точности получим уравнение (4.9). Но уравнение (3.11) было уже решено выше. Поэтому, зная формулу, описывающую колебания пружинного маятника, мы сразу же можем записать формулу для описания электрических колебаний в контуре.

Формула Томсона. В уравнении (3.11) коэффициент представляет собой квадрат собственной частоты колебаний. Поэтому и коэффициент в уравнении (4.9) также представляет собой квадрат циклической частоты — в этот раз для свободных электрических колебаний:

Свободные электрические колебания

Период свободных колебаний в контуре, таким образом, равен:

Формула Томсона

Формула (4.11) называется формулой Томсона в честь английского физика У. Томсона (Кельвина), который ее впервые вывел.

Увеличение периода свободных колебаний с возрастанием L и С наглядно можно пояснить так. При увеличении индуктивности L ток медленнее нарастает со временем и медленнее падает до нуля. А чем больше емкость С, тем большее время требуется для перезарядки конденсатора.

Гармонические колебания заряда и тока. Подобно тому как координата при механических колебаниях (в случае, когда в начальный момент времени отклонение тела маятника от положения равновесия максимально) изменяется со временем по гармоническому закону:

х = хm cos ω0t,

заряд конденсатора меняется с течением времени по такому же закону:

q = qm cos ω0t,                         (4.12)

где qm — амплитуда колебаний заряда.

Сила тока также совершает гармонические колебания:

Сила тока совершает гармонические колебания

где Im = qmω0 — амплитуда колебаний силы тока. Колебания силы тока опережают по фазе на колебания заряда (рис. 4.7).

Точно так же колебания скорости тела в случае пружинного или математического маятника опережают на колебания координаты (смещения) этого тела.

В действительности, из-за неизбежного наличия сопротивления электрической цепи, колебания будут затухающими. Сопротивление R также будет влиять и на период колебаний, чем больше сопротивление R, тем бо́льшим будет период колебаний. При достаточно большом сопротивлении колебания совсем не возникнут. Конденсатор разрядится, но перезарядки его не произойдет, энергия электрического и магнитного полей перейдет в тепло.


Простейшая система, где наблюдаются свободные электромагнитные колебания, — колебательный контур. Уравнение (4.9) — это основное уравнение, описывающее свободные электрические колебания в контуре.


Простейшая система, где наблюдаются свободные электромагнитные колебания

Вопросы к параграфу

1. В чем различие между свободными и вынужденными электрическими колебаниями?

2. Как изменится период свободных электрических колебаний в контуре, если емкость конденсатора в нем вдвое увеличить или же вдвое уменьшить?

3. Как связаны амплитуды колебаний заряда и тока при разрядке конденсатора через катушку?

 

 

???????@Mail.ru