Главная >> Физика 11 класс. Мякишев

Глава 7. Электромагнитные волны

§ 56. Радиолокация

Обнаружение и точное определение местонахождения объектов с помощью радиоволн называют радиолокацией. Радиолокационная установка — радиолокатор (или радар) — состоит из передающей и приемной частей. В радиолокации используют электрические колебания сверхвысокой частоты (108 — 1011 Гц). Мощный генератор СВЧ связан с антенной, которая излучает остронаправленную волну. В радиолокаторах, работающих на длинах волн порядка 10 см и меньше, такая волна создается антеннами в виде параболических зеркал. Для волн метрового диапазона антенны имеют вид сложных систем вибраторов. При этом острая направленность излучения получается вследствие сложения волн. Антенна устроена так, что волны, посланные каждым из вибраторов, при сложении взаимно усиливают друг друга лишь в заданном направлении. В остальных направлениях происходит полное или частичное их взаимное гашение.

Отраженная волна улавливается либо той же излучающей антенной, либо другой приемной антенной, тоже остронаправленной. Строгая направленность излучения позволяет говорить о луче радиолокатора. Направление на объект и определяется как направление луча в момент приема отраженного сигнала.

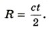
Для определения расстояния до цели применяют импульсный режим излучения. Передатчик излучает волны кратковременными импульсами. Длительность каждого импульса составляет миллионные доли секунды, а промежуток между импульсами примерно в 1000 раз больше. Во время пауз принимаются отраженные волны.

Определение расстояния R проводится путем измерения общего времени t прохождения радиоволн до цели и обратно. Так как скорость радиоволн с = 3 • 108 м/с в атмосфере практически постоянна на всем пути луча, то

Определение расстояния

Вследствие рассеяния радиоволн до приемника доходит лишь ничтожная часть той энергии, которую излучает передатчик. Потому приемники радиолокаторов усиливают принятый сигнал в миллионы миллионов раз (1012). Такой чувствительный приемник, разумеется, должен быть отключен на время посылки импульса передатчиком.

Для фиксации посланного и отраженного сигналов используют электронно-лучевую трубку

Для фиксации посланного и отраженного сигналов используют электронно-лучевую трубку. В момент посылки импульса светлая точка, равномерно движущаяся по экрану электронно-лучевой трубки, отклоняется. На экране появляется всплеск около нулевой отметки шкалы дальности (рис. 7.22). Светящееся пятнышко на экране продолжает равномерно двигаться вдоль шкалы и в момент приема слабого отраженного сигнала снова отклоняется. Расстояние между всплесками на экране пропорционально времени t прохождения сигнала и, следовательно, расстоянию R до цели. Это позволяет проградуировать шкалу непосредственно в километрах.

Радиолокационные установки обнаруживают корабли и самолеты на расстояниях до нескольких сот километров. На их работу лишь незначительно влияют условия погоды и время суток. В больших аэропортах локаторы следят за взлетающими и идущими на посадку самолетами. Наземная служба передает по радио пилотам необходимые указания и таким образом обеспечивает безопасность полетов. Внешний вид аэродромного локатора показан на рисунке 7.23.

Внешний вид аэродромного локатора

Корабли и самолеты также снабжены радиолокаторами, служащими для навигационных целей. Такие локаторы создают на экране картину расположения объектов, рассеивающих радиоволны, и оператор видит радиолокационную карту местности.

В настоящее время применение радиолокации становится все более разнообразным. С помощью локаторов наблюдают метеоры в верхних слоях атмосферы. Локаторы используются службой погоды для наблюдения за обланами. Наконец, локаторы используются в космических исследованиях. Каждый космический корабль обязательно имеет на борту несколько радиолокаторов. В 1946 г. в США и Венгрии был осуществлен эксперимент по приему сигнала, отраженного от поверхности Луны. В 1961 г. учеными нашей страны произведена радиолокация планеты Венера, что позволило оценить период ее вращения вокруг своей оси. В настоящее время осуществлена локация и других планет Солнечной системы.


Радиолокаторы используются для обнаружения самолетов и кораблей, в службе погоды, для локации планет и др.


Вопрос к параграфу

На каких принципах основана работа радиолокатора?

 

 

???????@Mail.ru