Главная >> Физика 11 класс. Мякишев

Глава 8. Световые волны

§ 61. Закон преломления света

Напомним, в чем состоит явление преломления света. Выведем затем закон преломления с помощью принципа Гюйгенса.

Наблюдение преломления света. На границе двух сред свет меняет направление своего распространения. Часть световой энергии возвращается в первую среду, т. е. происходит отражение света. Если вторая среда прозрачна, то свет частично может пройти через границу сред, также меняя при этом, как правило, направление распространения.

Это явление называется преломлением света.

Вследствие преломления наблюдается кажущееся изменение формы предметов, их расположения и размеров. В этом нас могут убедить простые наблюдения. Положим на дно пустого непрозрачного стакана монету или другой небольшой предмет. Подвинем стакан так, чтобы центр монеты, край стакана и глаз находились на одной прямой. Не меняя положения головы, будем наливать в стакан воду. По мере повышения уровня воды дно стакана с монетой как бы приподнимается. Монета, которая ранее была видна лишь частично, теперь будет видна полностью. Установим наклонно карандаш в сосуде с водой. Если посмотреть на сосуд сбоку, то можно заметить, что часть карандаша, находящаяся в воде, кажется сдвинутой в сторону.

преломление света

Эти явления объясняются изменением направления лучей на границе двух сред — преломлением света.

Закон преломления света определяет взаимное расположение падающего луча АВ (рис. 8.6), преломленного луча DB и перпендикуляра СЕ к поверхности раздела сред, восставленного в точке падения. Угол α называется углом падения, а угол β — углом преломления.

Падающий, отраженный и преломленный лучи нетрудно наблюдать, сделав узкий световой пучок видимым. Ход такого пучка в воздухе можно проследить, если пустить в воздух немного дыма или же поставить экран под небольшим углом к лучу. Преломленный пучок виден также в подкрашенной флюоресцином воде аквариума (рис. 8.7).

Вывод закона преломления света. Закон преломления света был установлен опытным путем в XVII в. Мы его выведем с помощью принципа Гюйгенса.

Преломление света при переходе из одной среды в другую вызвано различием в скоростях распространения света в той и другой среде. Обозначим скорость волны в первой среде через υ1, а во второй через υ2.

Пусть на плоскую границу раздела двух сред (например, из воздуха в воду) падает плоская световая волна (рис. 8.8). Обозначим через АС фронт волны в тот момент, когда волна достигнет точки А. Луч В1В достигнет границы раздела двух сред спустя время Δt:

Вывод закона преломления света

преломления света

Когда волна достигнет точки В, вторичная волна во второй среде от источника, находящегося в точке А, уже будет иметь вид полусферы радиусом

AD = υ2Δt.

Фронт преломленной волны можно получить, проведя поверхность, касательную ко всем фронтам вторичных волн во второй среде, источники которых находятся на границе раздела сред. В данном случае это плоскость BD. Она является огибающей вторичных волн.

Угол падения α луча А1А равен углу САВ в треугольнике АВС (углы между двумя взаимно перпендикулярными сторонами). Следовательно,

СВ = υ1Δt = АВ sin α.                         (8.2)

Угол преломления β равен углу ABD треугольника ABD. Поэтому

AD = υ2Δt = АВ sin β. α.                         (8.3)

Разделив почленно уравнение (8.2) на уравнение (8.3), получим

постоянная величина, не зависящая от угла падения

где n — постоянная величина, не зависящая от угла падения.

Сформулируем законы преломления света.

1) Падающий луч, преломленный луч и нормаль к границе раздела двух сред в точке падения лежат в одной плоскости.

2) Отношение синуса угла падения к синусу угла преломления есть величина постоянная для этих двух сред, равная относительному показателю преломления второй среды относительно первой.

Убедиться в справедливости закона преломления можно экспериментально, измеряя углы падения и преломления и вычисляя отношение их синусов при различных углах падения. Это отношение остается неизменным.

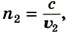
Показатель преломления. Из принципа Гюйгенса не только следует закон преломления, но с помощью этого принципа раскрывается физический смысл показателя преломления. Он равен отношению скоростей света в средах, на границе между которыми происходит преломление:

Показатель преломления

Если угол преломления β меньше угла падения α, то согласно уравнению (8.4) скорость света во второй среде меньше, чем в первой.

Показатель преломления среды относительно вакуума называют абсолютным показателем преломления этой среды. Он показывает, во сколько раз скорость света в вакууме больше, чем в среде, и равен отношению синуса угла падения к синусу угла преломления при переходе светового луча из вакуума в данную среду:

Пользуясь формулой (8.5), можно выразить относительный показатель преломления через абсолютные показатели преломления n1 и n2 первой и второй сред.

Действительно, так как и где с — скорость света в вакууме, то

показатель преломления

Среду с меньшим абсолютным показателем преломления принято называть оптически менее плотной средой.

Абсолютный показатель преломления определяется скоростью распространения света в данной среде, которая зависит от физических свойств и состояния среды, т. е. от температуры вещества, его плотности, наличия в нем упругих напряжений. Показатель преломления зависит также и от длины волны λ света. Для красного света он меньше, чем для зеленого, а для зеленого меньше, чем для фиолетового. Поэтому в таблицах значений показателей преломления для разных веществ обычно указывается, для какого света приведено данное значение n и в каком состоянии находится среда. Если таких указаний нет, то это означает, что зависимостью от приведенных факторов можно пренебречь.

В большинстве случаев приходится рассматривать переход света через границу воздух — твердое тело или воздух — жидкость, а не через границу вакуум — среда. Однако абсолютный показатель преломления n2 твердого или жидкого вещества отличается от показателя преломления того же вещества относительно воздуха незначительно. Так, абсолютный показатель преломления воздуха при нормальных условиях для желтого света равен примерно n1 ≈ 1,000292. Следовательно,

абсолютный показатель преломления

Значения показателей преломления для некоторых веществ относительно воздуха приведены ниже в таблице (данные относятся к желтому свету).

Значения показателей преломления

Ход лучей в треугольной призме. С помощью закона преломления света можно рассчитать ход лучей в различных оптических устройствах, например в треугольной призме, изготовленной из стекла или другого прозрачного материала.

Ход лучей в треугольной призме

На рисунке 8.9 изображено сечение стеклянной призмы плоскостью, перпендикулярной ее боковым ребрам. Луч в призме отклоняется к основанию, преломляясь на гранях ОА и ОВ. Угол φ между этими гранями называют преломляющим углом призмы. Угол θ отклонения луча зависит от преломляющего угла φ призмы, показателя преломления n материала призмы и угла падения α. Он может быть вычислен с помощью закона преломления (см. формулу (8.4)). При малых углах α и φ θ ≈ (n - 1)φ, где n — относительный показатель преломления.


На основе принципа Гюйгенса выведен закон преломления света.


Вопросы к параграфу

1. Каков физический смысл показателя преломления?

2. Чем отличается относительный показатель преломления от абсолютного?

 

 

???????@Mail.ru